
算法学习:
https://blog.csdn.net/2301_80220607/category_12922080.html?spm=1001.2014.3001.5482
前言:
在各种数据结构中,链表是最常用的几个之一,熟练使用链表和链表相关的算法,可以让我们在处理很多问题上都更加容易,下面我们就开始通过一些经典例题学习链表相关的算法
1.画图!!! -> 直观 + 形象 + 便于我们理解
2.引入虚拟“头"结点
3.不要吝啬空间,大胆去定义变量 4.快慢双指针
在做链表链表题时,我们尽量把思路画下来,能够更直观的看到问题所在,同时能引入虚拟头节点就引入虚拟头节点,可以帮助我们处理边界情况
链表中最基础的算法之一就是快慢双指针的使用,熟练掌握可以帮助我们解决很多问题
头插法的具体操作:

以上四步要一步一步来,顺序不能有误
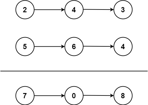
给你两个 非空 的链表,表示两个非负的整数。它们每位数字都是按照 逆序 的方式存储的,并且每个节点只能存储 一位 数字。
请你将两个数相加,并以相同形式返回一个表示和的链表。
你可以假设除了数字 0 之外,这两个数都不会以 0 开头。
示例 1:

输入:l1 = [2,4,3], l2 = [5,6,4]
输出:[7,0,8]
解释:342 + 465 = 807.提示:
[1, 100] 内0 <= Node.val <= 9我们先来结合一个例子理解一下这里的逆序是如何操作的:

其实将数字逆序比正序容易,数字逆序后,我们按照链表相加时,先加个位,再加十位,依次往后相加,符合加法逻辑,所以如果是正序的话我们反倒还需要先将链表颠倒,让它变成逆序后再操作

我们可以结合代码来看一下这个原理图,首先我们需要定义一个整数t,它的作用就是计算链表同一位置两数的和,其实对应的就是加法中的相同权值的位置相加(比如个位+个位),然后将t的个位放入求和链表中的相同位置,t如果十位不为0,代表的其实是要进位,比如上面例子中4+6=10,那么个位是0,我们将0放入求和链表的第二个节点处,t的十位跟随cur1、cur2一起来到权值更高的下一个节点进行新的相加运算
代码实现:
class Solution {
public:
ListNode* addTwoNumbers(ListNode* l1, ListNode* l2) {
ListNode* cur1=l1,*cur2=l2;
//创建一个虚拟头节点,记录最终返回结果
ListNode* newhead=new ListNode(0);
ListNode* prev=newhead; //尾指针
int t=0;
while(cur1||cur2||t)
{
if(cur1)
{
t+=cur1->val;
cur1=cur1->next;
}
if(cur2)
{
t+=cur2->val;
cur2=cur2->next;
}
prev->next=new ListNode(t%10);
t/=10;
prev=prev->next;
}
prev=newhead->next;
delete newhead;
return prev;
}
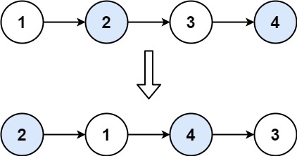
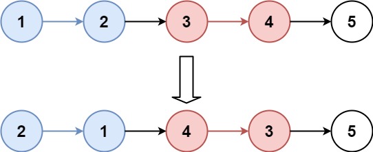
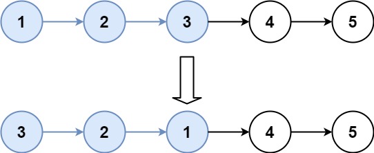
};给你一个链表,两两交换其中相邻的节点,并返回交换后链表的头节点。你必须在不修改节点内部的值的情况下完成本题(即,只能进行节点交换)。
示例 1:

输入:head = [1,2,3,4]
输出:[2,1,4,3]示例 2:
输入:head = []
输出:[]示例 3:
输入:head = [1]
输出:[1]提示:
[0, 100] 内0 <= Node.val <= 100
这种解法就比较简单粗暴了,就是直接创建一个全新的链表,将原链表中的值按要求交换后输入这个链表中,这样做的好处就是思路简单,容易想到,缺点就是空间开销大

class Solution {
public:
ListNode* swapPairs(ListNode* head) {
if(head==nullptr||head->next==nullptr) return head;
ListNode* newhead=swapPairs(head->next->next);
ListNode* tmp=head->next;
head->next->next=head;
head->next=newhead;
//head->next=tmp->next;
//tmp->next=head;
return tmp;
}
};这种解法就是上面的那种解法,观察上面的图,简单点来说就是还是在原链表上进行操作,记得处理好边界情况,记得创建一个头节点(方便我们找到链表的其实位置,返回值时简单)
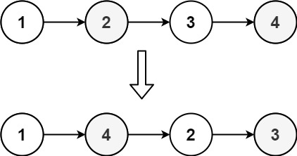
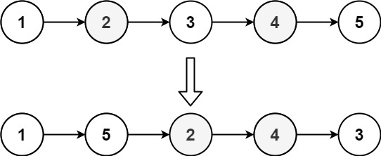
给定一个单链表 L 的头节点 head ,单链表 L 表示为:
L0 → L1 → … → Ln - 1 → Ln请将其重新排列后变为:
L0 → Ln → L1 → Ln - 1 → L2 → Ln - 2 → …不能只是单纯的改变节点内部的值,而是需要实际的进行节点交换。
示例 1:

输入:head = [1,2,3,4]
输出:[1,4,2,3]示例 2:

输入:head = [1,2,3,4,5]
输出:[1,5,2,4,3]提示:
[1, 5 * 104]1 <= node.val <= 1000算法原理:

主要思路如图所示,这个题目像让我们做的就是链表头取出一个数字,然后再从链表尾取一个数字直到最后取到中间为止,所以我们可以如上图所示,把链表从中间分为两个,然后将后面的逆序然后合并两个链表即可
代码实现:
class Solution {
public:
void reorderList(ListNode* head) {
//处理边界情况
if(head->next==nullptr||head->next->next==nullptr) return;
//1. 找到链表的中间节点
ListNode* slow=head,*fast=head;
while(fast&&fast->next)
{
slow=slow->next;
fast=fast->next->next;
}
//2. 把slow后面的部分给逆序 -- 头插法
ListNode* head2=new ListNode(0);
ListNode* cur=slow->next;
slow->next=nullptr; //注意把两个链表给断开
while(cur)
{
ListNode* next=cur->next;
cur->next=head2->next;
head2->next=cur;
cur=next;
}
//3. 合并两个链表 --双指针
ListNode* ret=new ListNode(0);
ListNode* prev=ret;
ListNode* cur1=head,*cur2=head2->next;
while(cur1)
{
//先放第一个链表
prev->next=cur1;
prev=prev->next;
cur1=cur1->next;
//再放第二个链表
if(cur2){
prev->next=cur2;
prev=prev->next;
cur2=cur2->next;
}
}
head=ret->next;
}
};给你链表的头节点 head ,每 k 个节点一组进行翻转,请你返回修改后的链表。
k 是一个正整数,它的值小于或等于链表的长度。如果节点总数不是 k 的整数倍,那么请将最后剩余的节点保持原有顺序。
你不能只是单纯的改变节点内部的值,而是需要实际进行节点交换。
示例 1:

输入:head = [1,2,3,4,5], k = 2
输出:[2,1,4,3,5]示例 2:

输入:head = [1,2,3,4,5], k = 3
输出:[3,2,1,4,5]提示:
n1 <= k <= n <= 50000 <= Node.val <= 1000算法原理:

主要的解题方法就是上面的那两步 但是这里也有一些细节需要我们注意:
代码实现:
class Solution {
public:
ListNode* reverseKGroup(ListNode* head, int k) {
//1. 计算链表中节点个数
int n=0;
ListNode* cur=head;
while(cur)
{
n++;
cur=cur->next;
}
int count=n/k;
ListNode* ret=new ListNode(0);
ListNode* prev=ret;
cur=head;
while(count--)
{
ListNode* tmp;
for(int i=0;i<k;i++){
ListNode* next=cur->next;
cur->next=prev->next;
prev->next=cur;
if(i==0) tmp=cur;
cur=next;
}
prev=tmp;
}
while(cur){
prev->next=cur;
prev=prev->next;
cur=cur->next;
}
return ret->next;
}
};以上就是几个经典的链表的例题,通过这几道题,其实我们应该明白的是,要想做好链表相关的题,就一定要把有关链表的基础算法给掌握好,比如如何逆序链表,如何实现头插尾插,如何使用快慢双指针等,把这些基础算法掌握好,然后结合题意,大部分链表题还是能够拿下的
本篇笔记:

感谢各位大佬观看,创作不易,还望各位大佬点赞支持!!!