
深度学习 (DL, Deep Learning) 特指基于深层神经网络模型和方法的机器学习。它是在统计机器学习、人工神经网络等算法模型基础上,结合当代大数据和大算力的发展而发展出来的。深度学习最重要的技术特征是具有自动提取特征的能力。神经网络算法、算力和数据是开展深度学习的三要素。深度学习在计算机视觉、自然语言处理、多模态数据分析、科学探索等领域都取得了很多成果。本专栏介绍基于PyTorch的深度学习算法实现。
【GitCode】专栏资源保存在我的GitCode仓库:https://gitcode.com/Morse_Chen/PyTorch_deep_learning。
想象一下有人正在看网飞(Netflix,一个国外的视频网站)上的电影。一名忠实的用户会对每一部电影都给出评价,毕竟一部好电影需要更多的支持和认可。然而事实证明,事情并不那么简单。随着时间的推移,人们对电影的看法会发生很大的变化。事实上,心理学家甚至对这些现象起了名字:
简而言之,电影评分决不是固定不变的。因此,使用时间动力学可以得到更准确的电影推荐。当然,序列数据不仅仅是关于电影评分的。下面给出了更多的场景。
处理序列数据需要统计工具和新的深度神经网络架构。为了简单起见,我们以图1所示的股票价格(富时100指数)为例。

图1 近30年的富时100指数
其中,用
表示价格,即在时间步(time step)
时,观察到的价格
。请注意,
对于本文中的序列通常是离散的,并在整数或其子集上变化。假设一个交易员想在
日的股市中表现良好,于是通过以下途径预测
:
为了实现这个预测,交易员可以使用回归模型,例如在线性回归的简洁实现中训练的模型。仅有一个主要问题:输入数据的数量,输入
本身因
而异。也就是说,输入数据的数量这个数字将会随着我们遇到的数据量的增加而增加,因此需要一个近似方法来使这个计算变得容易处理。本章后面的大部分内容将围绕着如何有效估计
展开。简单地说,它归结为以下两种策略。
第一种策略,假设在现实情况下相当长的序列
可能是不必要的,因此我们只需要满足某个长度为
的时间跨度,即使用观测序列
。当下获得的最直接的好处就是参数的数量总是不变的,至少在
时如此,这就使我们能够训练一个上面提及的深度网络。这种模型被称为自回归模型(autoregressive models),因为它们是对自己执行回归。
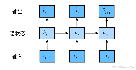
第二种策略,如图2所示,是保留一些对过去观测的总结
,并且同时更新预测
和总结
。这就产生了基于
估计
,以及公式
更新的模型。由于
从未被观测到,这类模型也被称为隐变量自回归模型(latent autoregressive models)。

图2 隐变量自回归模型
这两种情况都有一个显而易见的问题:如何生成训练数据?一个经典方法是使用历史观测来预测下一个未来观测。显然,我们并不指望时间会停滞不前。然而,一个常见的假设是虽然特定值
可能会改变,但是序列本身的动力学不会改变。这样的假设是合理的,因为新的动力学一定受新的数据影响,而我们不可能用目前所掌握的数据来预测新的动力学。统计学家称不变的动力学为静止的(stationary)。因此,整个序列的估计值都将通过以下的方式获得:
注意,如果我们处理的是离散的对象(如单词),而不是连续的数字,则上述的考虑仍然有效。唯一的差别是,对于离散的对象,我们需要使用分类器而不是回归模型来估计
。
回想一下,在自回归模型的近似法中,我们使用
而不是
来估计
。只要这种是近似精确的,我们就说序列满足马尔可夫条件(Markov condition)。特别是,如果
,得到一个一阶马尔可夫模型(first-order Markov model),
由下式给出:
当假设
仅是离散值时,这样的模型特别棒,因为在这种情况下,使用动态规划可以沿着马尔可夫链精确地计算结果。例如,我们可以高效地计算
:
利用这一事实,我们只需要考虑过去观察中的一个非常短的历史:
。隐马尔可夫模型中的动态规划超出了本节的范围(我们将在双向循环神经网络再次遇到),而动态规划这些计算工具已经在控制算法和强化学习算法广泛使用。
原则上,将
倒序展开也没什么问题。毕竟,基于条件概率公式,我们总是可以写出:
事实上,如果基于一个马尔可夫模型,我们还可以得到一个反向的条件概率分布。然而,在许多情况下,数据存在一个自然的方向,即在时间上是前进的。很明显,未来的事件不能影响过去。因此,如果我们改变
,可能会影响未来发生的事情
,但不能反过来。也就是说,如果我们改变
,基于过去事件得到的分布不会改变。因此,解释
应该比解释
更容易。例如,在某些情况下,对于某些可加性噪声
,显然我们可以找到
,而反之则不行。而这个向前推进的方向恰好也是我们通常感兴趣的方向。彼得斯等人对该主题的更多内容做了详尽的解释,而我们的上述讨论只是其中的冰山一角。
在了解了上述统计工具后,让我们在实践中尝试一下!首先,我们生成一些数据:使用正弦函数和一些可加性噪声来生成序列数据,时间步为
。
%matplotlib inline
import torch
from torch import nn
from d2l import torch as d2lT = 1000 # 总共产生1000个点
time = torch.arange(1, T + 1, dtype=torch.float32)
x = torch.sin(0.01 * time) + torch.normal(0, 0.2, (T,))
d2l.plot(time, [x], 'time', 'x', xlim=[1, 1000], figsize=(6, 3))
接下来,我们将这个序列转换为模型的特征-标签(feature-label)对。基于嵌入维度
,我们将数据映射为数据对
和
。这比我们提供的数据样本少了
个,因为我们没有足够的历史记录来描述前
个数据样本。一个简单的解决办法是:如果拥有足够长的序列就丢弃这几项;另一个方法是用零填充序列。在这里,我们仅使用前600个“特征-标签”对进行训练。
tau = 4
features = torch.zeros((T - tau, tau))
for i in range(tau):
features[:, i] = x[i: T - tau + i]
labels = x[tau:].reshape((-1, 1))batch_size, n_train = 16, 600
# 只有前n_train个样本用于训练
train_iter = d2l.load_array((features[:n_train], labels[:n_train]), batch_size, is_train=True)在这里,我们使用一个相当简单的架构训练模型:一个拥有两个全连接层的多层感知机,ReLU激活函数和平方损失。
# 初始化网络权重的函数
def init_weights(m):
if type(m) == nn.Linear:
nn.init.xavier_uniform_(m.weight)
# 一个简单的多层感知机
def get_net():
net = nn.Sequential(nn.Linear(4, 10), nn.ReLU(), nn.Linear(10, 1))
net.apply(init_weights)
return net
# 平方损失。注意:MSELoss计算平方误差时不带系数1/2
loss = nn.MSELoss(reduction='none')现在,准备训练模型了。实现下面的训练代码的方式与前面几节(如线性回归的简洁实现)中的循环训练基本相同。因此,我们不会深入探讨太多细节。
def train(net, train_iter, loss, epochs, lr):
trainer = torch.optim.Adam(net.parameters(), lr)
for epoch in range(epochs):
for X, y in train_iter:
trainer.zero_grad()
l = loss(net(X), y)
l.sum().backward()
trainer.step()
print(f'epoch {epoch + 1}, '
f'loss: {d2l.evaluate_loss(net, train_iter, loss):f}')
net = get_net()
train(net, train_iter, loss, 5, 0.01)
由于训练损失很小,因此我们期望模型能有很好的工作效果。让我们看看这在实践中意味着什么。首先是检查模型预测下一个时间步的能力,也就是单步预测(one-step-ahead prediction)。
onestep_preds = net(features)
d2l.plot([time, time[tau:]],
[x.detach().numpy(), onestep_preds.detach().numpy()], 'time',
'x', legend=['data', '1-step preds'], xlim=[1, 1000],
figsize=(6, 3))
正如我们所料,单步预测效果不错。即使这些预测的时间步超过了
(n_train + tau),其结果看起来仍然是可信的。然而有一个小问题:如果数据观察序列的时间步只到
,我们需要一步一步地向前迈进:
通常,对于直到
的观测序列,其在时间步
处的预测输出
称为
步预测(
-step-ahead-prediction)。由于我们的观察已经到了
,它的
步预测是
。换句话说,我们必须使用我们自己的预测(而不是原始数据)来进行多步预测。让我们看看效果如何。
multistep_preds = torch.zeros(T)
multistep_preds[: n_train + tau] = x[: n_train + tau]
for i in range(n_train + tau, T):
multistep_preds[i] = net(
multistep_preds[i - tau:i].reshape((1, -1)))d2l.plot([time, time[tau:], time[n_train + tau:]],
[x.detach().numpy(), onestep_preds.detach().numpy(),
multistep_preds[n_train + tau:].detach().numpy()], 'time',
'x', legend=['data', '1-step preds', 'multistep preds'],
xlim=[1, 1000], figsize=(6, 3))
如上面的例子所示,绿线的预测显然并不理想。经过几个预测步骤之后,预测的结果很快就会衰减到一个常数。为什么这个算法效果这么差呢?事实是由于错误的累积:假设在步骤
之后,我们积累了一些错误
。于是,步骤
的输入被扰动了
,结果积累的误差是依照次序的
,其中
为某个常数,后面的预测误差依此类推。因此误差可能会相当快地偏离真实的观测结果。例如,未来
小时的天气预报往往相当准确,但超过这一点,精度就会迅速下降。我们将在本章及后续章节中讨论如何改进这一点。
基于
,通过对整个序列预测的计算,让我们更仔细地看一下
步预测的困难。
max_steps = 64features = torch.zeros((T - tau - max_steps + 1, tau + max_steps))
# 列i(i<tau)是来自x的观测,其时间步从(i)到(i+T-tau-max_steps+1)
for i in range(tau):
features[:, i] = x[i: i + T - tau - max_steps + 1]
# 列i(i>=tau)是来自(i-tau+1)步的预测,其时间步从(i)到(i+T-tau-max_steps+1)
for i in range(tau, tau + max_steps):
features[:, i] = net(features[:, i - tau:i]).reshape(-1)steps = (1, 4, 16, 64)
d2l.plot([time[tau + i - 1: T - max_steps + i] for i in steps],
[features[:, (tau + i - 1)].detach().numpy() for i in steps], 'time', 'x',
legend=[f'{i}-step preds' for i in steps], xlim=[5, 1000],
figsize=(6, 3))
以上例子清楚地说明了当我们试图预测更远的未来时,预测的质量是如何变化的。虽然“
步预测”看起来仍然不错,但超过这个跨度的任何预测几乎都是无用的。
的观测序列,其在时间步
的预测输出是“
步预测”。随着我们对预测时间
值的增加,会造成误差的快速累积和预测质量的极速下降。