首页
学习
活动
专区
圈层
工具
发布
首页
学习
活动
专区
圈层
工具
MCP广场
社区首页 >专栏 >TreeMap工作原理-Java快速进阶教程

TreeMap工作原理-Java快速进阶教程

作者头像
jack.yang
发布2025-04-05 11:13:40
发布2025-04-05 11:13:40
19100
代码可运行
举报
运行总次数:0
代码可运行

TreeMap 继承AbstractMap实现 Serializable、Cloneable、NavigableMapSortedMap接口。 TreeMap 不使用哈希方法来存储键,这点与 HashMap ,LinkedHashMap 使用哈希计算来存储键不同。HashMap 和 LinkedHashMap 底层使用数组数据结构来存储节点,但 TreeMap 使用称为红黑树的数据结构。此外TreeMap 中的所有元素都按键排序。默认情况下,TreeMap 对其键按自然顺序执行排序,但它允许您使用 Comparator 来实现自定义排序。我们可以在创建TreeMap 时提供Comparator ,具体取决于使用哪个构造函数。让我们来看看它的构造函数:

  • TreeMap():此默认构造函数构造一个空的TreeMap,该TreeMap将使用其键的自然顺序进行排序。
  • TreeMap(Comparator comp): 这是一个参数构造函数,它需要 Comparator 对象来构造一个空的TreeMap。它将使用比较器组合进行排序。
  • TreeMap(Map map): 它使用Map 中的条目创建一个TreeMap,该TreeMap将使用键的自然顺序进行排序。
  • TreeMap(SortedMap sortedMap):它使用 sortedMap 中的条目初始化TreeMap,该TreeMap将按与 sortedMap 相同的顺序排序。

正如我们所看到的TreeMap的各种重载构造函数。让我们看看TreeMap的性能因素如下:

TreeMap的性能

如果与HashMap和LinkedHashMap相比,TreeMap的性能较慢。TreeMap为containsKey()、get()、put()和remove()等方法提供了log(n)的时间复杂度保证。

此外,TreeMap本质上追求提供相对快速处理的数据结构,这意味着它不是同步的,这就是为什么它不是线程安全的。你可以让它在多线程环境下是线程安全的,如下所示:

代码语言:javascript
代码运行次数:0
运行
复制
SortedMap m = Collections.synchronizedSortedMap(new TreeMap(...));

让我们讨论TreeMap的内部结构。

TreeMap的内部树结构

K key; //键

V value; //值

Entry<K,V> left; //左子节点对象

Entry<K,V> right;//右子节点对象

Entry<K,V> parent; //父节点对象

boolean color; //节点颜色

顾名思义,TreeMap基于树数据结构。众所周知,在树中每个节点都有6个元素,其中最重要的3个元素分别是其父元素、右元素和左元素。让我们看下图:

如上图所示,节点中有三个引用,比如父元素、右元素和左元素,它们具有以下属性关系:

  1. 元素在逻辑上将始终小于元素。
  2. 右元素在逻辑上将始终大于或等于元素
  3. 对象的逻辑比较是通过自然顺序完成的,或者基于那些实现可比较接口并覆盖compareTo(Object obj)方法的对象的返回值来确定结果。

让我们看看 compareTo() 方法的以下用法:

  • 如果 obj1.compareTo(obj2) 返回一个负数,则 obj1 在逻辑上小于 obj2。
  • 如果 obj1.compareTo(obj2) 返回正数,则 obj1 在逻辑上大于 obj2
  • 如果 obj1.compareTo(obj2) 返回零,则 obj1 等于 obj2。

正如我们所讨论的,TreeMap基于红黑树工作。

红黑树

红黑树是一种自平衡二叉搜索树,其中每个节点都有一个额外的位,该位通常被解释为红色或黑色。这些颜色用于确保树在插入和删除过程中保持平衡。虽然树的平衡并不完美,但它足以减少搜索时间并将其保持在 O(log n) 时间左右,其中 n 是树中元素的总数。必须注意的是,由于每个节点只需要 1 位空间来存储颜色信息,因此这些类型的树显示出与传统(无色)二叉搜索树相同的内存占用。

在本文中,我不打算详细解释红黑算法,让我们看看红黑算法的伪代码,以便理解内部实现,如下所示:

  • 正如算法的名称所暗示的那样,树中每个节点的颜色要么是红色,要么是黑色。
  • 根节点必须为黑色。
  • 红色节点不能有红色邻居节点。
  • 从根节点到 null 的所有路径都应包含相同数量的黑色节点。
  • 所有的叶子都是黑色的。

Java 中TreeMap的内部工作原理

现在,我们将讨论一个示例,看看TreeMap在内部是如何工作的。

代码语言:javascript
代码运行次数:0
运行
复制
/**
 * 
 */
package com.jack.map;

import java.util.Map;
import java.util.TreeMap;

/**
 * @author Jack.Yang
 *
 */
public class TreeMapTest {

	/**
	 * @param args
	 */
	public static void main(String[] args) {
		Map<Key, String> treemap = new TreeMap<>();
                treemap.put(new Key("H"), "中国");

		treemap.put(new Key("D"), "广东");

		treemap.put(new Key("B"), "深圳");
		treemap.put(new Key("F"), "广州");
代码语言:javascript
代码运行次数:0
运行
复制
                treemap.put(new Key("P"), "北京");
代码语言:javascript
代码运行次数:0
运行
复制
} }

让我们一步一步地了解。

第 1 步:最初,当我们创建一个TreeMap 对象时

代码语言:javascript
代码运行次数:0
运行
复制
Map<Key, String> treemap = new TreeMap<>();

里面没有元素。让我们在其上添加第一个元素。

步骤 2:将第一个元素添加到TreeMap

代码语言:javascript
代码运行次数:0
运行
复制
treemap.put("H", "中国");

在上面的代码中,“H”是键,“中国”是值。此数据将成为TreeMap的根节点,其余数据将附加到该节点,具体取决于其键的值是小于还是大于根。

步骤 3:将第二个元素添加到TreeMap

代码语言:javascript
代码运行次数:0
运行
复制
treemap.put("D", "广东");

现在,“D”在逻辑上小于“H”,因此根据我们的规则,

  • “广东” 将放置在 “中国” 的左侧。
  • “中国”将是 “广东” 的父级。

插入此元素后,TreeMap的结构将如下所示。

步骤 4:将第三个元素添加到TreeMap

就像前两个元素一样,我们将使用 put 方法在TreeMap中添加第三个元素,并将其键值与根的键值进行比较以确定其位置。如果它的键值大于根的值,那么它将位于其右侧,但如果它的值小于根的值,那么我们必须遵循与第一个元素相同的过程,将其视为根元素。

treemap.put("B", "深圳");

根据我们的规则,B 小于 D,这反过来又使其小于 H,因此它被放置在元素的左侧,键为“D”。这是因为在这种情况下,第一个元素被视为树的其余部分的根元素。

所以 “B” 为键,"深圳"为值插入此对象后,TreeMap的结构如下所示。

 如上图所示,此元素 {“中国”} 是树的根节点。正如我们上面讨论的红黑树的属性和规则,红黑树实现将为我们提供从左到右的排序顺序。所以根据图,一棵树的元素变得如下。

  • {“广东”} 将在 {“中国”} 的左侧
  • {“深圳”} 将位于 {“广东”} 的左侧

步骤 5:将第四个元素添加到TreeMap

 与前三个元素一样,我们在此TreeMap中添加第四个元素,只需检查其键值即可。

代码语言:javascript
代码运行次数:0
运行
复制
treemap.put("F", "广州");

第四个元素的键值是“F”,它大于“D”但小于“H”。因此,它将放置在 H 的左侧,但位于 D 的右侧。添加此元素后,TreeMap的结构将如下所示。

步骤 6:将第5个元素添加到TreeMap

代码语言:javascript
代码运行次数:0
运行
复制
treemap.put("P", "北京");

 同样,第五个元素将添加到根元素“H”的右侧,因为“P”按字母顺序大于“H”。添加此元素后,TreeMap的结构将如下所示。

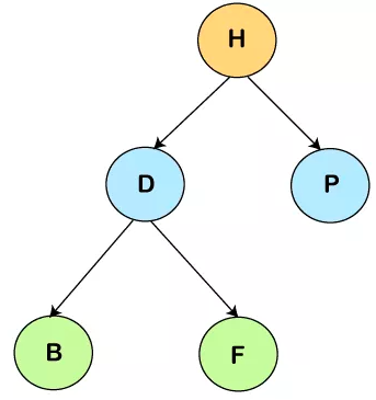
TreeMap中插入所有元素后,它将看起来像这样子的:

 在本文中,我们了解到 TreeMap 和 HashMap 一样也是 map 接口的一部分,以键值对的形式存储数据,但以自平衡二叉搜索树的形式存储——红黑树。

它是不同步的,并且按照数字或字母的升序自然地对数据进行排序,具体取决于我们用于声明键的数据类型的类型,因为它根据其键对数据进行排序和存储。我们还可以在初始化TreeMap 时使用比较器进行一些自定义排序。就像其他排序的Map一样,TreeMap 还允许我们使用其内置方法执行一些操作,例如添加、删除、替换等。

由于其对数据进行排序的自然方式,这些操作的时间复杂度为 log n,这使得它在访问数据时速度方面比 HashMap 慢,但在大量存储方面,它比 HashMap 更易于扩展,因为 HashMap 以连续顺序存储数据(它将数据存储在数组中),而 TreeMap 将数据存储在自平衡二叉搜索树中,可以在其中存放大量数据,因为它只需要存储数据所需的空间量。

本文参与 腾讯云自媒体同步曝光计划,分享自作者个人站点/博客。
原始发表:2008-06-06,如有侵权请联系 cloudcommunity@tencent.com 删除

本文分享自 作者个人站点/博客 前往查看

如有侵权,请联系 cloudcommunity@tencent.com 删除。

本文参与 腾讯云自媒体同步曝光计划  ,欢迎热爱写作的你一起参与!

评论
登录后参与评论
0 条评论
热度
最新
推荐阅读
目录
  • TreeMap的性能
  • 红黑树
  • Java 中TreeMap的内部工作原理
    • 让我们一步一步地了解。
领券
问题归档专栏文章快讯文章归档关键词归档开发者手册归档开发者手册 Section 归档