首页
学习
活动
专区
圈层
工具
发布
首页
学习
活动
专区
圈层
工具
MCP广场
社区首页 >专栏 >可视化图解算法:链表指定区间反转

可视化图解算法:链表指定区间反转

原创
作者头像
用户11589437
修改2025-07-11 11:04:38
修改2025-07-11 11:04:38
3200
代码可运行
举报
运行总次数:0
代码可运行

1. 题目

描述

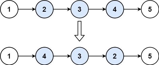
给你单链表的头指针 head 和两个整数 leftright ,其中 left <= right 。请你反转从位置 left 到位置 right 的链表节点,返回 反转后的链表

示例1

输入:输入:head = [1,2,3,4,5], left = 2, right = 4 输出:[1,4,3,2,5]

示例 2

输入:head = [5], left = 1, right = 1 输出:[5]

提示:

  • 链表中节点数目为 n
  • 1 <= n <= 500
  • -500 <= Node.val <= 500
  • 1 <= left <= right <= n

2. 解题思路

第1步:定义一个临时链表头节点。

第2步:定义(找到)截取区间外的指针变量:pre、post,截取区间指针变量:left、right。

第3步:切断原连接。

第4步:翻转局部链表。

链表的局部反转,可以参考上一篇讲解的《可视化图解算法:反转链表》。

第5步:接回原来的链表。

3. 编码实现

3.1 Python编码实现

代码语言:javascript
代码运行次数:0
运行
复制
class ListNode:
    def __init__(self, x):
        self.val = x  # 链表的数值域
        self.next = None  # 链表的指针域
​
​
# 从链表节点尾部添加节点
def insert_node(node, value):
    if node is None:
        print("node is None")
        return
    # 创建一个新节点
    new_node = ListNode(value)
    cur = node
    # 找到链表的末尾节点
    while cur.next is not None:
        cur = cur.next
    # 末尾节点的next指针域连接新节点
    cur.next = new_node
​
​
# 打印链表(从链表头结点开始打印链表的值)
def print_node(node):
    cur = node
    # 遍历每一个节点
    while cur is not None:
        print(cur.val, end="\t")
        cur = cur.next  # 更改指针变量的指向
    print()
​
def reverseList(left):
    if left is None:
        return
    pre = None  # (操作的)前序节点
    cur = left  # (操作的)当前节点
    nxt = left  # (操作的)下一个节点
    while cur is not None:
        nxt = cur.next
        cur.next = pre
        pre = cur
        cur = nxt
​
#
# 代码中的类名、方法名、参数名已经指定,请勿修改,直接返回方法规定的值即可
#
#
# @param head ListNode类
# @param m int整型
# @param n int整型
# @return ListNode类
#
class Solution:
    def reverseBetween(self, head: ListNode, m: int, n: int) -> ListNode:
        # write code here
        # 1. 定义一个临时链表头节点
        tmp_head = ListNode(-1)
        tmp_head.next = head
​
        # 2.定义(找到)截取区间外的指针变量:pre、post,截取区间指针变量:left、right
        pre = tmp_head
        for i in range(m - 1):
            pre = pre.next
        left = pre.next
        right = tmp_head
        for i in range(n):
            right = right.next
        post = right.next
​
        # 3.切断链接
        pre.next = None
        right.next = None
​
        # 4. 翻转局部链表
        reverseList(left)
​
        # 5.接回原来的链表
        pre.next = right
        left.next = post
​
        return tmp_head.next
​
​
if __name__ == '__main__':
    root = ListNode(1)
    insert_node(root, 2)
    insert_node(root, 3)
    insert_node(root, 4)
    insert_node(root, 5)
    print_node(root)
​
    s = Solution()
    head = s.reverseBetween(root, 2, 4)
    print_node(head)
​

3.2 Java编码实现

代码语言:javascript
代码运行次数:0
运行
复制
package LL02;
​
​
import javax.swing.plaf.nimbus.NimbusLookAndFeel;
​
public class Main {
    //定义链表节点
    static class ListNode {
        private int val;  //链表的数值域
        private ListNode next; //链表的指针域
​
        public ListNode(int data) {
            this.val = data;
            this.next = null;
        }
    }
​
    //添加链表节点
    private static void insertNode(ListNode node, int data) {
        if (node == null) {
            return;
        }
        //创建一个新节点
        ListNode newNode = new ListNode(data);
        ListNode cur = node;
        //找到链表的末尾节点
        while (cur.next != null) {
            cur = cur.next;
        }
        //末尾节点的next指针域连接新节点
        cur.next = newNode;
    }
​
    //打印链表(从头节点开始打印链表的每一个节点)
    private static void printNode(ListNode node) {
        ListNode cur = node;
        //遍历每一个节点
        while (cur != null) {
            System.out.print(cur.val + "\t");
            cur = cur.next; //更改指针变量的指向
        }
        System.out.println();
    }
​
​
    public static class Solution {
        /**
         * 代码中的类名、方法名、参数名已经指定,请勿修改,直接返回方法规定的值即可
         *
         * @param head ListNode类
         * @param m    int整型
         * @param n    int整型
         * @return ListNode类
         */
        public ListNode reverseBetween(ListNode head, int m, int n) {
            // write code here
            //1. 定义一个临时链表头节点
            ListNode tmpHead = new ListNode(-1);
            tmpHead.next = head;
​
            //2.定义(找到)截取区间外的指针变量:pre、post,截取区间指针变量:left、right
            ListNode pre = tmpHead;
            for (int i = 0; i < m - 1; i++) {
                pre = pre.next;
            }
            ListNode left = pre.next;
​
            ListNode right = tmpHead;
            for (int i = 0; i < n; i++) {
                right = right.next;
            }
            ListNode post = right.next;
​
            //3.切断链接
            pre.next = null;
            right.next = null;
​
            //4.反转局部链表
            reverseList(left);
​
            //5.接回原来的链表
            pre.next = right;
            left.next = post;
​
            return tmpHead.next;
​
        }
​
        private void reverseList(ListNode left) {
            ListNode pre = null; //前序节点
            ListNode cur = left; //(操作的)当前节点
            ListNode nxt = left;//(操作的)下一个节点
            while (cur != null) {
                nxt = cur.next;
                cur.next = pre;
                pre = cur;
                cur = nxt;
            }
        }
    }
​
    public static void main(String[] args) {
        ListNode root = new ListNode(1);
        insertNode(root, 2);
        insertNode(root, 3);
        insertNode(root, 4);
        insertNode(root, 5);
        printNode(root);
​
        Solution solution = new Solution();
        ListNode head = solution.reverseBetween(root, 2, 4);
        printNode(head);
    }
}
​

3.3 Golang编码实现

代码语言:javascript
代码运行次数:0
运行
复制
package main
​
import (
    "fmt"
)
​
type ListNode struct {
    Val  int       //链表的数值域
    Next *ListNode //链表的指针域
}
​
/**
 * 代码中的类名、方法名、参数名已经指定,请勿修改,直接返回方法规定的值即可
 *
 *
 * @param head ListNode类
 * @param m int整型
 * @param n int整型
 * @return ListNode类
 */
func reverseBetween(head *ListNode, m int, n int) *ListNode {
    // write code here
    //1. 定义一个临时链表头节点
    tempHead := &ListNode{Val: -1}
    tempHead.Next = head
    //2.定义(找到)截取区间外的指针变量:pre、post,截取区间指针变量:left、right
    pre := tempHead
    for i := 0; i < m-1; i++ {
        pre = pre.Next
    }
    left := pre.Next
    right := tempHead
    for i := 0; i < n; i++ {
        right = right.Next
    }
    post := right.Next
    //3.切断链接
    pre.Next = nil
    right.Next = nil
    //4.翻转局部链表
    reverseList(left)
    //5.接回原来的链表
    pre.Next = right
    left.Next = post
    return tempHead.Next
}
​
func reverseList(left *ListNode) {
    var pre *ListNode //(操作的)前序节点
    cur := left       //(操作的)当前节点
    nxt := left       //(操作的)下一个节点
    for cur != nil {
        nxt = cur.Next
        cur.Next = pre
        pre = cur
        cur = nxt
    }
}
func main() {
    root := &ListNode{Val: 1}
    root.Insert(2)
    root.Insert(3)
    root.Insert(4)
    root.Insert(5)
    root.Print()
​
    node := reverseBetween(root, 2, 4)
    node.Print()
}
​
// Insert 从链表节点尾部添加节点
func (ln *ListNode) Insert(val int) {
    if ln == nil {
        return
    }
    //创建一个新节点
    newNode := &ListNode{Val: val}
    cur := ln
    //找到链表的末尾节点
    for cur.Next != nil {
        cur = cur.Next
    }
    //末尾节点的next指针域连接新节点
    cur.Next = newNode
}
​
// Print 从链表头结点开始打印链表的值
func (ln *ListNode) Print() {
    if ln == nil {
        return
    }
    cur := ln
    //遍历每一个节点
    for cur != nil {
        fmt.Print(cur.Val, "\t")
        cur = cur.Next //更改指针变量的指向
    }
    fmt.Println()
}
​

4.小结

对于链表内指定区间反转的反转,可以通过5步操作完成:

(1)定义一个临时链表头节点;(2)定义(找到)截取区间外的指针变量:pre、post,截取区间指针变量:left、right;(3)切断链接;(4)翻转局部链表;(5)接回原来的链表。对于第4步局部反转用到了上一篇所讲的内容。

对于链表的相关操作,我们总结了一套【可视化+图解】方法,依据此方法来解决链表相关问题,链表操作变得易于理解,写出来的代码可读性高也不容易出错。具体也可以参考视频详细讲解。

视频讲解:B站 @好易学数据结构

原创声明:本文系作者授权腾讯云开发者社区发表,未经许可,不得转载。

如有侵权,请联系 cloudcommunity@tencent.com 删除。

原创声明:本文系作者授权腾讯云开发者社区发表,未经许可,不得转载。

如有侵权,请联系 cloudcommunity@tencent.com 删除。

评论
登录后参与评论
0 条评论
热度
最新
推荐阅读
目录
  • 1. 题目
    • 示例1
  • 2. 解题思路
  • 3. 编码实现
    • 3.1 Python编码实现
    • 3.2 Java编码实现
    • 3.3 Golang编码实现
  • 4.小结
领券
问题归档专栏文章快讯文章归档关键词归档开发者手册归档开发者手册 Section 归档