给定一个单链表的头结点pHead(该头节点是有值的,比如在下图,它的val是1),长度为n,反转该链表后,返回新链表的表头。
数据范围: 0<≤n≤1000
要求:空间复杂度 O(1) ,时间复杂度 O(n)。
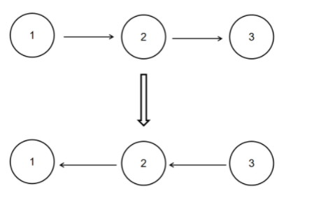
如当输入链表{1,2,3}时,
经反转后,原链表变为{3,2,1},所以对应的输出为{3,2,1}。
以上转换过程如下图所示:

输入:{1,2,3}
返回值:{3,2,1}
输入:{}
返回值:{}
说明:空链表则输出空
假如说这是我们的链表,结构如下图所示:

第一步:定义3个指针变量,pre(序节点)、cur(当前操作的节点)和nxt(当前操作的下一个节点),结构如下图所示:

第二步:通过更改刚刚定义的3个指针变量反转链表节点。


这时,已经完成了链表的第一个和第二节点的反转。
第三步:重复第二步的操作,直到链表的所有节点反转完成。
如果cur指针变量指向的节点为Null时,就说明所有节点都完成了反转,循环退出,因此反转链表循环的条件:cur!=NUll。
最后返回反转之后的头结点,头结点就是pre所指向的内容。

class ListNode:
def __init__(self, x):
self.val = x # 链表的数值域
self.next = None # 链表的指针域
# 从链表节点尾部添加节点
def insert_node(node, value):
if node is None:
print("node is None")
return
# 创建一个新节点
new_node = ListNode(value)
cur = node
# 找到链表的末尾节点
while cur.next is not None:
cur = cur.next
# 末尾节点的next指针域连接新节点
cur.next = new_node
# 打印链表(从链表头结点开始打印链表的值)
def print_node(node):
cur = node
# 遍历每一个节点
while cur is not None:
print(cur.val, end="\t")
cur = cur.next # 更改指针变量的指向
print()
#
#
# @param head ListNode类
# @return ListNode类
#
class Solution:
def ReverseList(self, pHead: ListNode) -> ListNode:
if pHead is None:
return pHead # 节点为空,直接返回
pre = None # (操作的)前序节点
cur = pHead # (操作的)当前节点
nxt = pHead # (操作的)下一个节点
while cur is not None:
nxt = cur.next # 移动nxt指针
cur.next = pre # 更改当前节点(cur)指针域的指向
pre = cur # 移动pre指针
cur = nxt # 移动cur指针
return pre # 返回反转之后的头结点
if __name__ == '__main__':
root = ListNode(1)
insert_node(root, 2)
insert_node(root, 3)
insert_node(root, 4)
insert_node(root, 5)
print_node(root)
s = Solution()
node = s.ReverseList(root)
print_node(node)package LL01;
public class Main {
//定义链表节点
static class ListNode {
private int val; //链表的数值域
private ListNode next; //链表的指针域
public ListNode(int data) {
this.val = data;
this.next = null;
}
}
//添加链表节点
private static void insertNode(ListNode node, int data) {
if (node == null) {
return;
}
//创建一个新节点
ListNode newNode = new ListNode(data);
ListNode cur = node;
//找到链表的末尾节点
while (cur.next != null) {
cur = cur.next;
}
//末尾节点的next指针域连接新节点
cur.next = newNode;
}
//打印链表(从头节点开始打印链表的每一个节点)
private static void printNode(ListNode node) {
ListNode cur = node;
//遍历每一个节点
while (cur != null) {
System.out.print(cur.val + "\t");
cur = cur.next; //更改指针变量的指向
}
System.out.println();
}
public static class Solution {
/**
* 代码中的类名、方法名、参数名已经指定,请勿修改,直接返回方法规定的值即可
*
* @param pHead ListNode类
* @return ListNode类
*/
public ListNode ReverseList(ListNode pHead) {
// write code here
if (pHead == null) {
return pHead;
}
ListNode pre = null;//前序节点
ListNode cur = pHead; //(操作的)当前节点
ListNode nxt = pHead; //下一个节点
while (cur != null) {
nxt = cur.next;//移动nxt指针
cur.next = pre;// 更改当前节点(cur)指针域的指向
pre = cur;//移动pre指针
cur = nxt;//移动cur指针
}
return pre;//返回反转之后的头结点
}
}
public static void main(String[] args) {
ListNode root = new ListNode(1);
insertNode(root, 2);
insertNode(root, 3);
insertNode(root, 4);
insertNode(root, 5);
printNode(root);
Solution solution = new Solution();
ListNode node = solution.ReverseList(root);
printNode(node);
}
}package main
import "fmt"
// ListNode 定义链表节点
type ListNode struct {
Val int //链表的数值域
Next *ListNode //链表的指针域
}
func main() {
root := &ListNode{
Val: 1,
Next: nil,
}
root.Insert(2)
root.Insert(3)
root.Insert(4)
root.Insert(5)
root.Print()
node := ReverseList(root)
node.Print()
}
func ReverseList(pHead *ListNode) *ListNode {
if pHead == nil {
return pHead //节点为空,直接返回
}
var pre *ListNode //(操作的)前序节点
cur := pHead //(操作的)当前节点
nxt := pHead //(操作的)下一个节点
for cur != nil {
nxt = cur.Next //移动nxt指针
cur.Next = pre // 更改当前节点(cur)指针域的指向
pre = cur //移动pre指针
cur = nxt //移动cur指针
}
return pre //返回反转之后的头结点
}
// Insert 从链表节点尾部添加节点
func (ln *ListNode) Insert(val int) {
if ln == nil {
return
}
//创建一个新节点
newNode := &ListNode{Val: val}
cur := ln
//找到链表的末尾节点
for cur.Next != nil {
cur = cur.Next
}
//末尾节点的next指针域连接新节点
cur.Next = newNode
}
// Print 从链表头结点开始打印链表的值
func (ln *ListNode) Print() {
if ln == nil {
return
}
cur := ln
//遍历每一个节点
for cur != nil {
fmt.Print(cur.Val, "\t")
cur = cur.Next //更改指针变量的指向
}
fmt.Println()
}
视频讲解:B站 @好易学数据结构
本题的难点在于定义出3个指针变量,pre(序节点)、cur(当前操作的节点)和nxt(当前操作的下一个节点),并在初始化的时候明确指向,之后就可以更改cur的指针域(nxt)、移动pre、cur。由于链表节点有多个,操作方法一样,因此采用循环的方法。当cur指向Null时,说明链表的所有节点都完成了反转。
对于链表的相关操作,我们总结了一套【可视化+图解】方法,依据此方法来解决链表相关问题,链表操作变得易于理解,写出来的代码可读性高也不容易出错。具体也可以参考视频详细讲解。
今日佳句:众里寻他千百度。蓦然回首,那人却在,灯火阑珊处。
原创声明:本文系作者授权腾讯云开发者社区发表,未经许可,不得转载。
如有侵权,请联系 cloudcommunity@tencent.com 删除。
原创声明:本文系作者授权腾讯云开发者社区发表,未经许可,不得转载。
如有侵权,请联系 cloudcommunity@tencent.com 删除。