
2025-03-21:统计好节点的数目。用go语言,给定一棵无向树,树中有 n 个节点,节点的标号从 0 到 n - 1,根节点为 0。我们有一个长度为 n - 1 的二维数组 edges,其中 edges[i] = [ai, bi] 表示节点 ai 和节点 bi 之间有一条边。
如果一个节点的所有子节点所构成的子树中,包含的节点数都相同,则该节点被称为“好节点”。 你的任务是计算出在这棵树中有多少个“好节点”。
2 <= n <= 100000。
edges.length == n - 1。
edges[i].length == 2。
0 <= ai, bi < n。
输入确保 edges 总表示一棵有效的树。
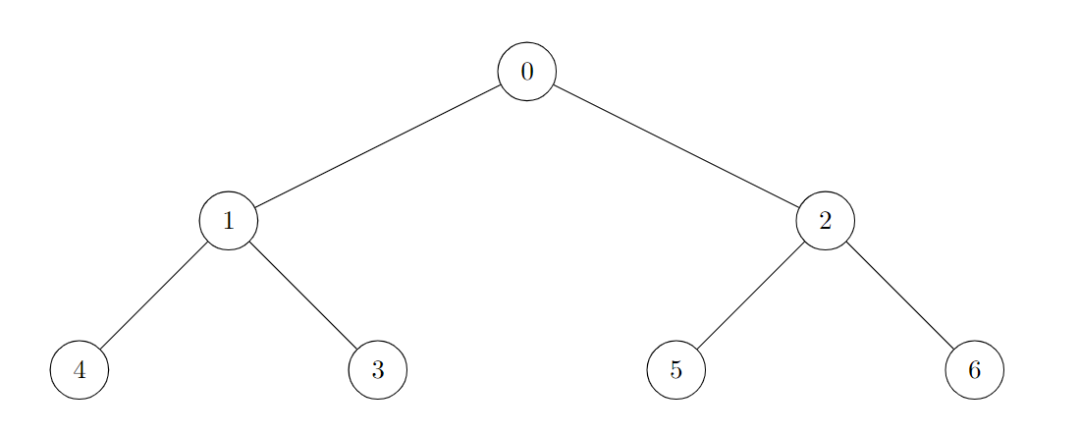
输入:edges = [[0,1],[0,2],[1,3],[1,4],[2,5],[2,6]]。
输出:7。
解释:

树中的节点都是好节点。
题目来自leetcode3249。
1.首先定义了一个 countGoodNodes 函数,接收一个二维数组 edges,表示树的边的关系。
2.初始化树的节点个数 n 为 len(edges) + 1,创建一个二维数组 g 用来表示节点之间的关系。
3.构建图的邻接表 g,将节点之间的连接关系存储在邻接表中。
4.初始化变量 res 用来统计“好节点”数量。
5.定义一个内部递归函数 dfs,用来遍历节点并统计每个节点的子树大小。
6.在 dfs 函数中,遍历当前节点的子节点,通过递归调用 dfs 函数计算子节点的大小,并判断子节点所构成的子树节点数是否相同。
7.如果子节点构成的子树节点数相同,则将当前节点标记为“好节点”,统计“好节点”的数量。
8.递归遍历整棵树,从根节点开始。
9.在 main 函数中构造示例输入 edges 作为树的边的关系,调用 countGoodNodes 函数计算“好节点”数量,并打印结果。
总的时间复杂度:
dfs 函数中,对每个节点的子节点进行遍历,时间复杂度也为 O(n)。总的额外空间复杂度:
g 来存储节点之间的关系,占用的额外空间为 O(n)。package main
import (
"fmt"
)
func countGoodNodes(edges [][]int)int {
n := len(edges) + 1
g := make([][]int, n)
for _, edge := range edges {
x, y := edge[0], edge[1]
g[x] = append(g[x], y)
g[y] = append(g[y], x)
}
res := 0
var dfs func(node, parent int)int
dfs = func(node, parent int)int {
valid := true
treeSize := 0
subTreeSize := 0
for _, child := range g[node] {
if child != parent {
size := dfs(child, node)
if subTreeSize == 0 {
subTreeSize = size
} elseif size != subTreeSize {
valid = false
}
treeSize += size
}
}
if valid {
res++
}
return treeSize + 1
}
dfs(0, -1)
return res
}
func main() {
edges := [][]int{{0, 1}, {0, 2}, {1, 3}, {1, 4}, {2, 5}, {2, 6}}
result := countGoodNodes(edges)
fmt.Println(result)
}

# -*-coding:utf-8-*-
defcountGoodNodes(edges):
n = len(edges) + 1
g = [[] for _ inrange(n)]
for x, y in edges:
g[x].append(y)
g[y].append(x)
res = 0
defdfs(node, parent):
nonlocal res
valid = True
treeSize = 0
subTreeSize = 0
for child in g[node]:
if child != parent:
size = dfs(child, node)
if subTreeSize == 0:
subTreeSize = size
elif size != subTreeSize:
valid = False
treeSize += size
if valid:
res += 1
return treeSize + 1
dfs(0, -1)
return res
if __name__ == "__main__":
edges = [[0, 1], [0, 2], [1, 3], [1, 4], [2, 5], [2, 6]]
result = countGoodNodes(edges)
print(result)
我们相信 Go 语言和算法为普通开发者提供了强有力的“面试利器”,并致力于分享全面的编程知识。在这里,您可以找到最新的 Go 语言教程、算法解析、提升面试竞争力的秘籍以及行业动态。