

论文标题:Patch-wise Structural Loss for Time Series Forecasting
论文链接:https://arxiv.org/abs/2503.00877
代码链接:https://github. com/Dilfiraa/PS_Loss
Patch快被全方位榨干了~~~~
时间序列预测在交通、天气和金融等多个领域具有重要应用价值。然而,现有的预测模型大多依赖于点对点的损失函数,如均方误差,这些方法忽略了时间序列数据中的结构性依赖关系,导致难以准确捕捉复杂的时间模式。
所以本文提出了一种新的时间序列预测损失函数,称为Patch-wise Structural (PS) 损失,旨在通过引入局部统计特性来提高时间序列预测的准确性。

为了说明 MSE 的局限性,我们来看图 1 中三个具有相似 MSE 值但预测质量不同的预测结果。图 1a 中的预测与真实值的相关性较差,未能捕捉到整体的方向和模式。相比之下,图 1b 中的预测虽然与真实值的总体形状相符,但未能匹配其变异性,方差失配导致波动动态失真。另一方面,图 1c 中的预测保持了形状,但存在均值偏移,致使整体预测水平出现持续偏差。这些例子表明,相关性、方差和均值反映了结构相似性的不同但又相互补充的方面,能够更全面地评估预测与真实值之间的一致性。
但是在全局层面测量相关性、均值和方差是不够的,因为全局指标往往无法捕捉统计属性的局部变化,尤其是在非平稳时间序列中,这些属性会随时间演变。这一局限性凸显了采用局部化方法的必要性,该方法能够适应这些变化,并对时间序列进行更精确的比较。

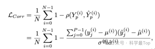
为了解决这些挑战,本文提出了一种基于Patch-wise Structural (PS) loss,在patch级别引入结构相似性度量来改进时间序列预测,包含三个关键部分:




在五种最先进的架构和七个真实世界数据集上进行的大量实验证实了我们方法的有效性,展现出持续的性能提升和更高的预测精度。在零样本预测实验中,PS损失在34个场景中优于MSE损失,表明其在未见数据上的泛化能力更强。


这篇论文通过引入Patch-wise Structural (PS) 损失函数,改进了时间序列预测的结构性对齐。PS损失通过结合局部统计特性,提供了更精确的结构对齐,增强了模型的预测性能和泛化能力。