首页
学习
活动
专区
圈层
工具
发布
首页
学习
活动
专区
圈层
工具
MCP广场
社区首页 >专栏 >如何利用SQL实现余弦相似度匹配

如何利用SQL实现余弦相似度匹配

作者头像
羑悻的小杀马特.
发布2025-01-23 16:46:58
发布2025-01-23 16:46:58
48300
代码可运行
举报
文章被收录于专栏:杀马特杀马特
运行总次数:0
代码可运行

一、余弦相似度的原理

在利用sql实现余弦相似度匹配之前,先讲一讲实现余弦相似度的原理,相信搞清楚原理之后,你可以用多种方法计算出两个向量之间的余弦相似度。

1.基本原理

余弦相似度是通过计算两个向量的夹角余弦值来评估它们的相似度,也可以说是根据两个空间向量的夹角来评估两个个体的差异度。

由下图可以看出,夹角越接近0°,余弦值越接近于1,这时它们之间的相似性越高,反之,夹角越接近180°,余弦值越接近于-1,这时它们之间的余弦相似度越低,当然等于-1不完全等同于他们之间没有相似度,这个得视情况而定。

余弦相似度也可以用余弦距离表示,余弦距离通常定义为

1-\cos \left ( \theta \right )
1-\cos \left ( \theta \right )

 ,也就是用 1 减去它们的余弦相似度来得到一个表示距离的数值,该数值范围在[0,2]之间,值越小表示两个向量越 “接近”,相似度越高。

这里假设有两个向量

\underset{a}{\rightarrow}
\underset{a}{\rightarrow}

\underset{b}{\rightarrow}
\underset{b}{\rightarrow}

\underset{a}{\rightarrow}
\underset{a}{\rightarrow}
= \left ( a_{1} ,a_{2},...,a_{n}\right )
= \left ( a_{1} ,a_{2},...,a_{n}\right )

,向量

\underset{b}{\rightarrow}
\underset{b}{\rightarrow}
= \left ( b_{1} ,b_{2},...,b_{n}\right )
= \left ( b_{1} ,b_{2},...,b_{n}\right )

,则

\underset{a}{\rightarrow}
\underset{a}{\rightarrow}

\underset{b}{\rightarrow}
\underset{b}{\rightarrow}

两向量的余弦相似度为:

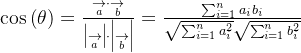
\cos \left ( \theta \right )=\frac{\underset{a}{\rightarrow} \cdot \underset{b}{\rightarrow}} {​{\left | \underset{a}{\rightarrow} \right |}\cdot{\left | \underset{b}{\rightarrow} \right |}}=\frac{\sum_{i=1}^{n}a_{i}b_{i}}{\sqrt{\sum_{i=1}^{n}a_{i}^{2}}\sqrt{\sum_{i=1}^{n}b_{i}^{2}}}
\cos \left ( \theta \right )=\frac{\underset{a}{\rightarrow} \cdot \underset{b}{\rightarrow}} {​{\left | \underset{a}{\rightarrow} \right |}\cdot{\left | \underset{b}{\rightarrow} \right |}}=\frac{\sum_{i=1}^{n}a_{i}b_{i}}{\sqrt{\sum_{i=1}^{n}a_{i}^{2}}\sqrt{\sum_{i=1}^{n}b_{i}^{2}}}

从上述公式可以看出,要计算两个向量的余弦相似度,只需要计算出两个向量的点积与模即可,接下来我们就分别计算两个向量的点积与模。

1.1.向量的点积

两个向量的点积可以解释为,一个向量的模长与另一个向量在此向量方向上投影的长度的乘积,假设有两个向量

\underset{a}{\rightarrow}
\underset{a}{\rightarrow}
= \left ( a_{1} ,a_{2},...,a_{n}\right )
= \left ( a_{1} ,a_{2},...,a_{n}\right )

,向量

\underset{b}{\rightarrow}
\underset{b}{\rightarrow}
= \left ( b_{1} ,b_{2},...,b_{n}\right )
= \left ( b_{1} ,b_{2},...,b_{n}\right )

,向量的点积也就是

\underset{a}{\rightarrow}\cdot \underset{b}{\rightarrow}=\left | \underset{a}{\rightarrow} \right |\cdot \left | \underset{b}{\rightarrow} \right |\cos \left ( \theta \right )
\underset{a}{\rightarrow}\cdot \underset{b}{\rightarrow}=\left | \underset{a}{\rightarrow} \right |\cdot \left | \underset{b}{\rightarrow} \right |\cos \left ( \theta \right )

,其计算公式为:

\underset{a}{\rightarrow}\cdot \underset{b}{\rightarrow}
\underset{a}{\rightarrow}\cdot \underset{b}{\rightarrow}
=\sum_{i=1}^{n}a_{i}\cdot b_{i}=a_{1}\cdot b_{1}+a_{2}\cdot b_{2}+\cdots +a_{n}\cdot b_{n}
=\sum_{i=1}^{n}a_{i}\cdot b_{i}=a_{1}\cdot b_{1}+a_{2}\cdot b_{2}+\cdots +a_{n}\cdot b_{n}

上述公式中

a_{i}
a_{i}

b_{i}
b_{i}

为空间向量的坐标。

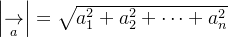
1.2.向量的模

从上例可以看出,模其实就是向量的长度(也称为范数),向量的长度是用欧几里得距离(Euclidean distance)算出,假设有个向量

\underset{a}{\rightarrow}
\underset{a}{\rightarrow}
= \left ( a_{1} ,a_{2},...,a_{n}\right )
= \left ( a_{1} ,a_{2},...,a_{n}\right )

,则

\underset{a}{\rightarrow}
\underset{a}{\rightarrow}

模的计算方法为:

\left | \underset{a}{\rightarrow} \right |=\sqrt{a_{1}^{2}+ a_{2}^{2}+ \cdots +a_{n}^{2}}
\left | \underset{a}{\rightarrow} \right |=\sqrt{a_{1}^{2}+ a_{2}^{2}+ \cdots +a_{n}^{2}}

这和欧氏距离的计算方法比较相似,所以上手很简单。

二、利用SQL计算相似度

通过上面的学习你应该已经搞清楚了余弦相似度的基本原理,接下来我们就开始利用sql来进行余弦相似度的计算。

上述可知,我们通体进行的都是向量的计算,所以在进行相似度计算之前,要先将数据转换成向量的形式,这里以 My sql 为例(以下简称为sql),而sql并不会直接将数据转换为向量形式,所以我们也不能真正的进行向量之间的运算,只能将数据转换成类似于向量的形式(如int类型),所以在进行计算之前,应先将数据转换为 int 或float类型。

以下做一个简单的示例,在这里我们创建一个简单的数据表table_a ,在向其中添加一些数据:

代码语言:javascript
代码运行次数:0
运行
复制
-- 创建table_a表
create table table_a(
    field1 int,
    field2 int,
    field3 char
);

-- 向其中添加多条数据
insert into table_a (field1, field2, field3)
values
    (3, 4, '否'),
    (6, 8, '是'),
    (2, 1, '是');

根据建表语句,可以看出其中有三列数据,两列int类型数据,一列char类型,接下来我们要做的就是将第三列 field3 转换为 int类型,并进行相似度计算。

1.数据类型转换

在这里我们可以重新创建一个中间表,来将 field3 列转换为数据类型,并保存到新数据表中:

代码语言:javascript
代码运行次数:0
运行
复制
create table_b as
select field1,
       field2,
       case when field3='是' then 1
            when field3='否' then 0 end as field3
  from table_a;

这条 SQL 语句的主要作用是基于已有的 table_a 表创建一个新的表 table_b,并且在创建新表的同时对从 table_a 中选取的数据进行了一定的转换操作。具体来说,它从 table_a 表中选取了 field1 和 field2 字段的原始数据,然后对 field3 字段进行了条件判断转换,将字符型的 '是' 转换为数值 1'否' 转换为数值 0,并将转换后的数据填充到新表 table_b 对应的字段中。这样就将第三列 field3 的文本分类数据转化为数据10,接下来就可以计算相似度了。

2.相似度计算
2.1.点积的计算

想要计算余弦相似度,先要计算两个向量的点积与模,表 table_b 中的 field1field2 和 field3 可以分别看做是三个向量,则由点积计算的公式可以知道他们的点积为:

代码语言:javascript
代码运行次数:0
运行
复制
select sum(field1 * field2 * field3) as dot_product
from table_b;

这里先将每行记录的 field1field2 和 field3 三个字段的值相乘,对于每一行记录都会进行这样的操作,得到该行三个字段的乘积结果。

SUM 是聚合函数,用于对前面乘法运算得到的每一行的乘积结果进行求和操作,使用 SUM 函数对所有行的乘积结果进行求和,将最终的点积值以 dot_product 作为列名返回。

2.2.模的计算

点积计算完之后,接下来我们通过SQRT 函数计算向量的模,SQRT 函数是求平方根函数。

代码语言:javascript
代码运行次数:0
运行
复制
select sqrt(sum(field1 * field1)) as field1_norm
from table_b;

这里先使用乘法运算符 * 将 field1 的值与其自身相乘(即求平方),然后通过聚合函数 SUM 对所有行的平方值进行求和,最后使用 SQRT 函数(求平方根函数)计算出总和的平方根,也就是 field1 这个 “向量” 的模,通过 AS field1_norm 给结果列命名为 field1_norm

同理可以得出 field2 field3 的模,这里不再赘述,接下来只需要将上述结果合起来相除便可。

代码语言:javascript
代码运行次数:0
运行
复制
select dot_product/field1_norm as similar
  from (
select sum(field1 * field2 * field3) as dot_product
     , sqrt(sum(field1 * field1))*sqrt(sum(field2 * field2))*sqrt(sum(field3 * field3)) as field1_norm
from table_b) as t;

到这里相似度的计算就算是结束了,不过需要注意的是,这里的相似度只是用余弦相似度公式计算出来的数值而已,而使用的也并不是真正的向量,只是将sql中的字段转换为类似向量的一种形式而已,所以仍要注意的是,这种方法只针对数值型数据可行,使用之前尤其要注意这一点,而且因为数据量级过大会导致计算量较大,所以并不适用于大批量的数据。

本文参与 腾讯云自媒体同步曝光计划,分享自作者个人站点/博客。
原始发表:2024-12-23,如有侵权请联系 cloudcommunity@tencent.com 删除

本文分享自 作者个人站点/博客 前往查看

如有侵权,请联系 cloudcommunity@tencent.com 删除。

本文参与 腾讯云自媒体同步曝光计划  ,欢迎热爱写作的你一起参与!

评论
登录后参与评论
0 条评论
热度
最新
推荐阅读
目录
  • 一、余弦相似度的原理
    • 1.基本原理
      • 1.1.向量的点积
      • 1.2.向量的模
  • 二、利用SQL计算相似度
    • 1.数据类型转换
    • 2.相似度计算
      • 2.1.点积的计算
      • 2.2.模的计算
领券
问题归档专栏文章快讯文章归档关键词归档开发者手册归档开发者手册 Section 归档