
简介:本文讲解UML图的各种情况下的含义。
百度百科:
UML-Unified Modeling Language统一建模语言,又称标准建模语言。是用来对软件密集系统进行可视化建模的一种语言。UML的定义包括UML语义和UML表示法两个元素。
UML是在开发阶段,说明、可视化、构建和书写一个面向对象软件密集系统的制品的开放方法。最佳的应用是工程实践,对大规模,复杂系统进行建模方面,特别是在软件架构层次,已经被验证有效。统一建模语言(UML)是一种模型化语言。模型大多以图表的方式表现出来。一份典型的建模图表通常包含几个块或框,连接线和作为模型附加信息之用的文本。这些虽简单却非常重要,在UML规则中相互联系和扩展。
UML类图由类名,属性,方法构成。
我们以一个Employee类来举例子讲解。

UML类图中表示可见性的符号+,-,#含义如下:
属性的完整表示方式格式为: 可见性 名称 :类型 [ = 缺省值]
方法的完整表示方式格式为: 可见性 名称(参数列表) [ : 返回类型]
简介:
老师和学生、师傅和徒弟、丈夫和妻子等。关联关系、聚合关系和组合关系。关联又可以分为单向关联,双向关联,自关联。
1,单向关联

在UML类图中单向关联用一个带箭头的实线表示。上图表示每个顾客都有一个地址,这通过让Customer类持有一个类型为Address的成员变量类实现。
2,双向关联

所谓双关联就是两个类中互相有对方的部分。
在UML类图中,双向关联用一个不带箭头的直线表示。
3,自关联

自关联在UML类图中用一个带有箭头且指向自身的线表示。上图的意思就是Node类包含类型为Node的成员变量,也就是“自己包含自己”。
聚合关系是关联关系的一种,是强关联关系,是整体和部分之间的关系。
聚合关系的特点是,成员可以脱离于整体对象独立存在,比如学校与老师的关系,学校包含老师,但是就算学校没了,老师依然可以存在。
在UML类图中,聚合关系可以用带空心菱形的实线来表示,菱形指向整体。下图所示是大学和教师的关系图:

组合表示类之间的整体与部分的关系,但它是一种更强烈的聚合关系。
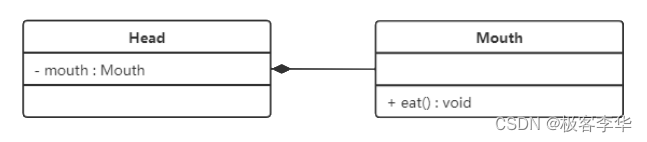
在组合关系中,整体对象可以控制部分对象的生命周期,一旦整体对象不存在,部分对象也将不存在,部分对象不能脱离整体对象而存在。例如,头和嘴的关系,没有了头,嘴也就不存在了。
在UML 类图中,组合关系用带实心菱形的实线来表示,菱形指向整体。下图所示是头和嘴的关系图:

依赖关系是一种使用关系,它是对象之间耦合度最弱的一种关联方式,是临时性的关联。在代码中,某个类的方法通过局部变量、方法的参数或者对静态方法的调用来访问另一个类(被依赖类)中的某些方法来完成一些职责。
在 UML 类图中,依赖关系使用带箭头的虚线来表示,箭头从使用类指向被依赖的类。下图所示是司机和汽车的关系图,司机驾驶汽车:

继承关系是耦合度最大的一种,也是我们最常看见的一种,子类基础父类。
在 UML类图中,泛化关系用带空心三角箭头的实线来表示,箭头从子类指向父类。在代码实现时,使用面向对象的继承机制来实现泛化关系。例如,Student 类和 Teacher 类都是 Person 类的子类,其类图如下图所示:

实现关系是接口与实现类之间的关系。在这种关系中,类实现了接口,类中的操作实现了接口中所声明的所有的抽象操作。
在 UML类图中,实现关系使用带空心三角箭头的虚线来表示,箭头从实现类指向接口。例如,汽车和船实现了交通工具.
