给你两棵二叉树的根节点 p 和 q ,编写一个函数来检验这两棵树是否相同。
如果两个树在结构上相同,并且节点具有相同的值,则认为它们是相同的。
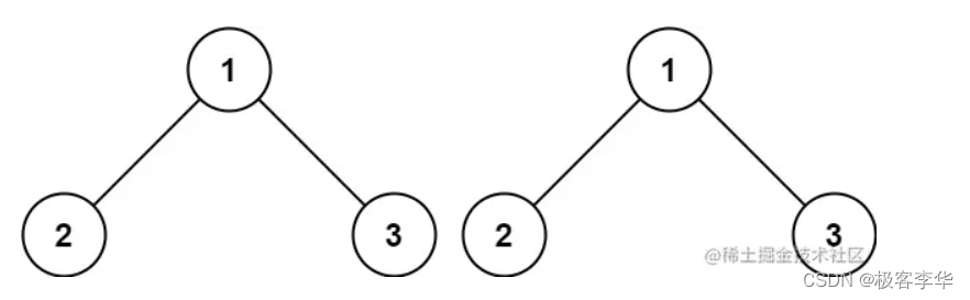
示例 1:

输入: p = [1,2,3], q = [1,2,3]
输出: true示例 2:

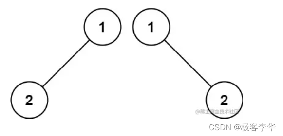
输入: p = [1,2], q = [1,null,2]
输出: false示例 3:

输入: p = [1,2,1], q = [1,1,2]
输出: false提示:
[0, 100] 内-104 <= Node.val <= 104我的代码:
/**
* Definition for a binary tree node.
* struct TreeNode {
* int val;
* TreeNode *left;
* TreeNode *right;
* TreeNode() : val(0), left(nullptr), right(nullptr) {}
* TreeNode(int x) : val(x), left(nullptr), right(nullptr) {}
* TreeNode(int x, TreeNode *left, TreeNode *right) : val(x), left(left), right(right) {}
* };
*/
class Solution {
public:
bool isSameTree(TreeNode* p, TreeNode* q) {
// 先写特例
if (p == NULL && q == NULL) return true;
if (p == NULL || q == NULL) return false;
if (p->val != q->val) return false;
// 递归寻找
return (isSameTree(p->left, q->left) && isSameTree(p->right, q->right));
}
};对应我的掘金文章:https://juejin.cn/post/7147330670962933774