给定一个已排序的链表的头 head , 删除所有重复的元素,使每个元素只出现一次 。返回 已排序的链表 。
示例 1:

输入: head = [1,1,2]
输出: [1,2]示例 2:

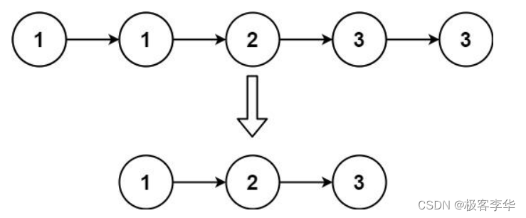
输入: head = [1,1,2,3,3]
输出: [1,2,3]提示:
[0, 300] 内-100 <= Node.val <= 100我的代码:
/**
* Definition for singly-linked list.
* struct ListNode {
* int val;
* ListNode *next;
* ListNode() : val(0), next(nullptr) {}
* ListNode(int x) : val(x), next(nullptr) {}
* ListNode(int x, ListNode *next) : val(x), next(next) {}
* };
*/
class Solution {
public:
ListNode* deleteDuplicates(ListNode* head) {
// 判断特例
if (NULL == head) return head;
ListNode * p = head;
while(p->next != NULL)
{
// 然后就是找重复元素了
if (p->val == p->next->val) p->next = p->next->next;
else p = p->next;
}
return head;
}
};