给你一个链表的头节点 head ,判断链表中是否有环。
如果链表中有某个节点,可以通过连续跟踪 next 指针再次到达,则链表中存在环。 为了表示给定链表中的环,评测系统内部使用整数 pos 来表示链表尾连接到链表中的位置(索引从 0 开始)。注意:pos 不作为参数进行传递 。仅仅是为了标识链表的实际情况。
如果链表中存在环 ,则返回 true 。 否则,返回 false 。
示例 1:

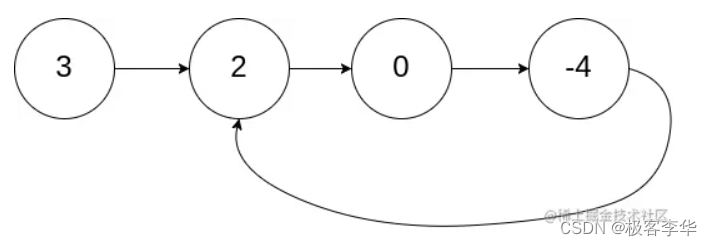
输入: head = [3,2,0,-4], pos = 1
输出: true
解释: 链表中有一个环,其尾部连接到第二个节点。示例 2:

输入: head = [1,2], pos = 0
输出: true
解释: 链表中有一个环,其尾部连接到第一个节点。示例 3:

输入: head = [1], pos = -1
输出: false
解释: 链表中没有环。提示:
[0, 104]-105 <= Node.val <= 105pos 为 -1 或者链表中的一个 有效索引 。我的代码:
/**
* Definition for singly-linked list.
* struct ListNode {
* int val;
* ListNode *next;
* ListNode(int x) : val(x), next(NULL) {}
* };
*/
class Solution {
public:
bool hasCycle(ListNode *head) {
// 在遍历一个集合的过程中如果一个点出现了2次代表这个
// 链表有环
unordered_set<ListNode*> unset;
while(head)
{
if (unset.count(head)) return true;
unset.insert(head);
head = head->next;
}
return false;
}
};对应我的掘金文章:https://juejin.cn/post/7147297218071003150