难度简单1036收藏分享切换为英文接收动态反馈
给你一个链表的头节点 head 和一个整数 val ,请你删除链表中所有满足 Node.val == val 的节点,并返回 新的头节点 。
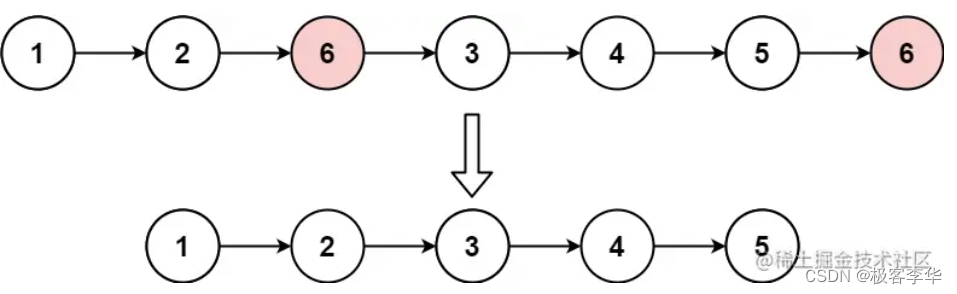
示例 1:

输入: head = [1,2,6,3,4,5,6], val = 6
输出: [1,2,3,4,5]示例 2:
输入: head = [], val = 1
输出: []示例 3:
输入: head = [7,7,7,7], val = 7
输出: []提示:
[0, 104] 内1 <= Node.val <= 500 <= val <= 50我的代码:
/**
* Definition for singly-linked list.
* struct ListNode {
* int val;
* ListNode *next;
* ListNode() : val(0), next(nullptr) {}
* ListNode(int x) : val(x), next(nullptr) {}
* ListNode(int x, ListNode *next) : val(x), next(next) {}
* };
*/
class Solution {
public:
ListNode* removeElements(ListNode* head, int val) {
// 递归的技巧
if (head == NULL) return head;
head->next = removeElements(head->next, val);
// 如果是要删除的value 那么就返回需要删除的节点的下一个节点 通过这种方式来删除 反之就返回原来的
return head->val == val ? head->next :head;
}
};对应我的掘金文章:https://juejin.cn/post/7147271288426332168