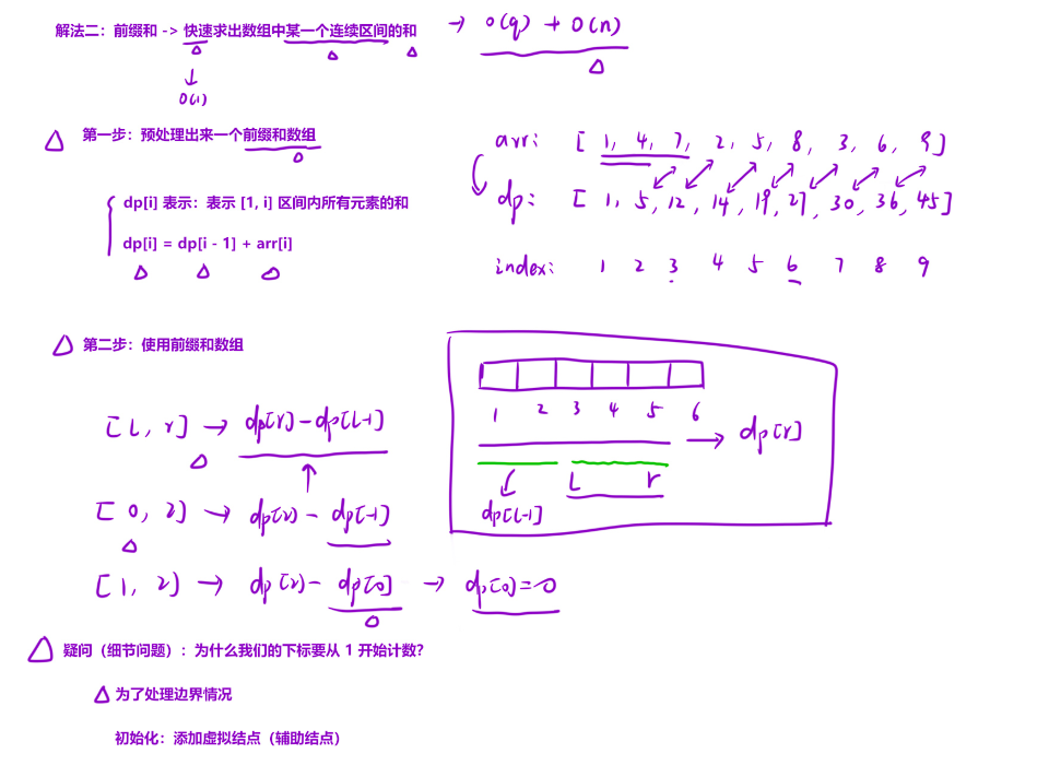
题目链接:牛客1 题目描述:


#include<iostream>
#include<vector>
using namespace std;
int main() {
int n,q;
cin>>n>>q;
vector<int> v1(n+1);
vector<long long int> dp(n+1);
for(int i=1;i<=n;i++)
{
cin>>v1[i];
dp[i]=dp[i-1]+v1[i];
}
int l,r;
while(q--)
{
cin>>l>>r;
cout<<dp[r]-dp[l-1]<<endl;
}
return 0;
}题目链接:牛客2 题目描述:


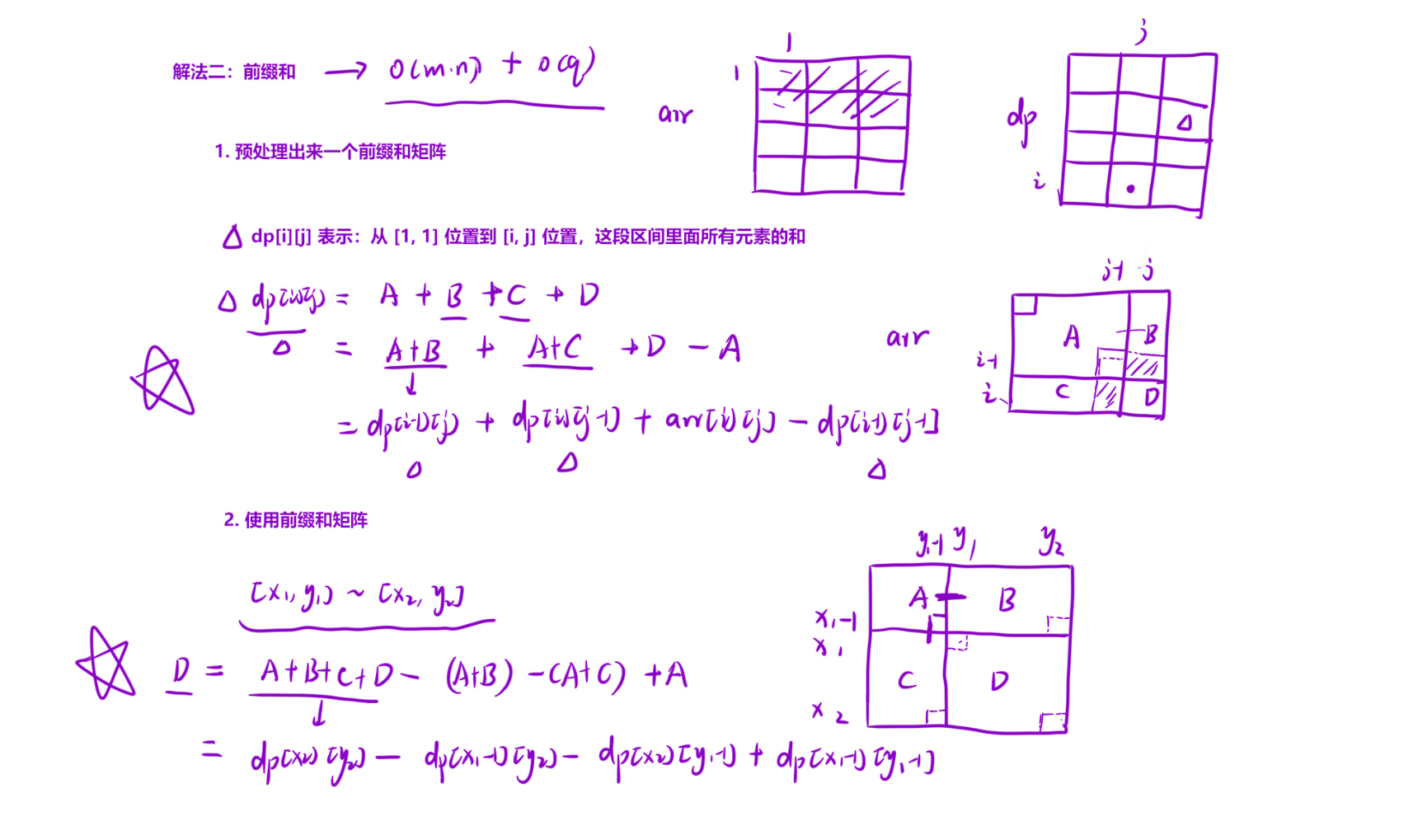
#include <iostream>
#include<vector>
using namespace std;
int main()
{
int n,m,q;
cin>>n>>m>>q;
vector<vector<int>> v1(n+1,vector<int>(m+1));
vector<vector<long long int>> dp(n+1,vector<long long int>(m+1));
for(int i=1;i<=n;i++)
{
for(int j=1;j<=m;j++)
{
cin>>v1[i][j];
dp[i][j]=dp[i-1][j]+dp[i][j-1]-dp[i-1][j-1]+v1[i][j];
}
}
int x1,y1,x2,y2;
while(q--)
{
cin>>x1>>y1>>x2>>y2;
cout<<dp[x2][y2]-dp[x2][y1-1]-dp[x1-1][y2]+dp[x1-1][y1-1]<<endl;
}
return 0;
}题目链接:除自身以外数组的乘积 题目描述:


class Solution {
public:
vector<int> productExceptSelf(vector<int>& nums) {
int n=nums.size();
vector<int> dpf(n),dpg(n),result(n);
dpf[0]=dpg[n-1]=1;
for(int i=1;i<n;i++)
{
dpf[i]=dpf[i-1]*nums[i-1];
}
for(int i=n-2;i>=0;i--)
{
dpg[i]=dpg[i+1]*nums[i+1];
}
for(int i=0;i<n;i++)
{
result[i]=dpf[i]*dpg[i];
}
return result;
}
};题目链接:和为K的子数组个数 题目描述:


class Solution {
public:
int subarraySum(vector<int>& nums, int k) {
unordered_map<int,int> hash;
int sum=0,count=0;
hash[0]=1;
for(int i=0;i<nums.size();i++)
{
sum+=nums[i];//当前位置前缀和
if(hash.count(sum-k))
{
count+=hash[sum-k];
}
hash[sum]++;
}
return count;
}
};题目链接:和可被 K 整除的子数组 题目描述:


class Solution {
public:
int subarraysDivByK(vector<int>& nums, int k) {
unordered_map<int,int> hash;//存前缀和的余数
hash[0]=1;
int sum=0,count=0;
for(int i=0;i<nums.size();i++)
{
sum+=nums[i];
int p1=(sum%k+k)%k;
if(hash.count(p1))
{
count+=hash[p1];
}
hash[p1]++;
}
return count;
}
};nums = [4, 5, 0, -2, -3, 1], k = 5代码逻辑详解 关键变量的作用
sum: 当前的前缀和。hash: 一个哈希表,记录前缀和的余数出现的次数。 hash[0] = 1: 初始设置表示前缀和本身就是 的情况。
count: 用来记录满足条件的子数组数量。hash = {0: 1}sum = 0count = 0逐步遍历数组
第 1 步:i = 0, nums[i] = 4
sum = sum + nums[i] = 0 + 4 = 4p1 = (sum % k + k) % k = (4 % 5 + 5) % 5 = 4p1 = 4: hash[4] = 1hash = {0: 1, 4: 1}count = 0第 2 步:i = 1, nums[i] = 5
sum = sum + nums[i] = 4 + 5 = 9p1 = (sum % k + k) % k = (9 % 5 + 5) % 5 = 4p1 = 4: count = count + hash[4] = 0 + 1 = 1hash[4] = 2hash = {0: 1, 4: 2}count = 1第 3 步:i = 2, nums[i] = 0
sum = sum + nums[i] = 9 + 0 = 9p1 = (sum % k + k) % k = (9 % 5 + 5) % 5 = 4p1 = 4: count = count + hash[4] = 1 + 2 = 3hash[4] = 3hash = {0: 1, 4: 3}count = 3第 4 步:i = 3, nums[i] = -2
sum = sum + nums[i] = 9 + (-2) = 7p1 = (sum % k + k) % k = (7 % 5 + 5) % 5 = 2p1 = 2: hash[2] = 1hash = {0: 1, 4: 3, 2: 1}count = 3第 5 步:i = 4, nums[i] = -3
sum = sum + nums[i] = 7 + (-3) = 4p1 = (sum % k + k) % k = (4 % 5 + 5) % 5 = 4p1 = 4: count = count + hash[4] = 3 + 3 = 6hash[4] = 4hash = {0: 1, 4: 4, 2: 1}count = 6第 6 步:i = 5, nums[i] = 1
sum = sum + nums[i] = 4 + 1 = 5p1 = (sum % k + k) % k = (5 % 5 + 5) % 5 = 0p1 = 0: count = count + hash[0] = 6 + 1 = 7hash[0] = 2hash = {0: 2, 4: 4, 2: 1}count = 7遍历完成后,count = 7,即共有 7 个子数组的和可以被 5 整除。
题目链接:连续数组 题目描述:


class Solution {
public:
int findMaxLength(vector<int>& nums) {
// 将数组中的 0 转换为 -1
for (int i = 0; i < nums.size(); i++) {
if (nums[i] == 0) nums[i] = -1;
}
// 使用哈希表记录前缀和首次出现的位置
unordered_map<int, int> hash;
hash[0] = -1; // 初始化:前缀和为 0 时的位置是 -1
int sum = 0; // 当前前缀和
int maxLength = 0; // 最长子数组长度
for (int i = 0; i < nums.size(); i++) {
sum += nums[i];
// 如果前缀和 sum 已经存在于哈希表中,更新最长长度
if (hash.count(sum)) {
maxLength = max(maxLength, i - hash[sum]);
} else {
// 如果前缀和 sum 第一次出现,记录其位置
hash[sum] = i;
}
}
return maxLength;
}
};