
现实情况是,我们经常要处理多个自变量和一个因变量之间的关系,此外,虽然通过做散点图可以发现非线性关系,但很难归因其形式,多项式回归在广义线性模型中,由于其不可解释的系数,降低了模型的有用性。
本文使用的广义加性模型提供了一种首选方案来研究多个自变量与因变量之间的关系,而无需事先了解因变量和自变量之间的关系,而是使用非线性平滑项来拟合模型。
广义相加模型(GAM:Generalized Additive Model),它模型公式如下:有p个自变量,其中X1与y是线性关系,其他变量与y是非线性关系,我们可以对每个变量与y拟合不同关系,对X2可以拟合局部回归,X3采用光滑样条,不必采用统一的关系,而最终结果‘加’在一起就可以了。

相关视频
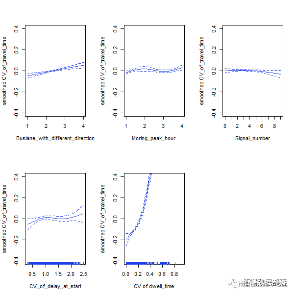
最近我们被要求探讨公交专用道,工作日,向西方向,早高峰,停驻时间系数,延误系数对行程时间变异度的影响。
所有因素中,公交专用道 对 行程时间变异度 的影响最大,且可以减少行程时间变异度。
序号 | 自变量 | 变量类型 |
|---|---|---|
1 | 公交专用道 | 0.1 变量 |
2 | 工作日 | 0.1 变量 |
3 | 向西方向 | 0.1 变量 |
4 | 早高峰 | 0.1 变量 |
5 | 信号灯 | 离散变量 整数 |
6 | 延误系数 | 连续变量 |
7 | 行程时间可靠性 | 连续变量 |

让我们使用summary函数对第一个模型进行诊断。

P值:给定变量对因变量的统计显着性,通过F检验进行检验(越低越好)。调整后的R平方(越高越好),s()是样条函数,括号里面的数字是定义的自由度,除了使用回归样条,还能使用局部样条lo()函数,得到的结果与上面的结果十分类似。

采用plot()可以将模型画出来,图横坐标为自变量X,纵坐标为因变量Y。
让我们使用summary函数进行诊断。

P值:给定变量对因变量的统计显着性,通过F检验进行检验(越低越好)。从结果可以看到公交专用道对行程时间变异度有显著影响。

