地址:移除链表元素
给你一个链表的头节点 head 和一个整数 val ,请你删除链表中所有满足 Node.val == val 的节点,并返回 新的头节点 。
思路是使用虚拟节点的方式比较简单一些,直接定义一个虚拟节点指向头结点,在链表中移除元素就是将指针域向后移动两部就可
/**
* Definition for singly-linked list.
* public class ListNode {
* int val;
* ListNode next;
* ListNode() {}
* ListNode(int val) { this.val = val; }
* ListNode(int val, ListNode next) { this.val = val; this.next = next; }
* }
*/
class Solution {
public ListNode removeElements(ListNode head, int val) {
//使用虚拟头结点方式
ListNode dumpNode = new ListNode();
dumpNode.next = head;
//定义当前节点为虚拟节点
ListNode cur = dumpNode;
while(cur.next != null){
if(cur.next.val == val){
//移除元素
cur.next = cur.next.next;
}else{
cur = cur.next;
}
}
//指向虚拟节点的下一个节点即头节点
return dumpNode.next;
}
}地址:设计链表
在链表类中实现这些功能:

class MyLinkedList {
//链表数量
int size;
//虚拟头节点
ListNode head;
//初始化链表
public MyLinkedList() {
size = 0;
head = new ListNode(0);
}
// 获取链表中下标为 index 的节点的值。如果下标无效,则返回 -1
public int get(int index) {
if(index <0 || index >= size){
return -1;
}
ListNode curNode = head;
for(int i=0; i <= index; i++){
curNode = curNode.next;
}
return curNode.val;
}
// 将一个值为 val 的节点插入到链表中第一个元素之前。在插入完成后,新节点会成为链表的第一个节点。
public void addAtHead(int val) {
addAtIndex(0,val);
}
//将一个值为 val 的节点追加到链表中作为链表的最后一个元素。
public void addAtTail(int val) {
addAtIndex(size,val);
}
//将一个值为 val 的节点插入到链表中下标为 index 的节点之前。如果 index 等于链表的长度,那么该节点会被追加到链表的 末尾。如果 index 比长度更大,该节点将 不会插入 到链表中。
public void addAtIndex(int index, int val) {
if(index > size){
return;
}
index = Math.max(0,index);
size++;
ListNode preNode = head;
for(int i=0;i < index ;i++){
preNode = preNode.next;
}
ListNode toAdd = new ListNode(val);
toAdd.next = preNode.next;
preNode.next = toAdd;
}
// 如果下标有效,则删除链表中下标为 index 的节点。
public void deleteAtIndex(int index) {
if(index < 0 || index >= size){
return;
}
size--;
ListNode curNode = head;
for(int i=0 ; i < index ; i++){
curNode = curNode.next;
}
curNode.next = curNode.next.next;
}
}
class ListNode{
int val;
ListNode next;
public ListNode(int val){
this.val = val;
}
public ListNode(){}
}
/**
* Your MyLinkedList object will be instantiated and called as such:
* MyLinkedList obj = new MyLinkedList();
* int param_1 = obj.get(index);
* obj.addAtHead(val);
* obj.addAtTail(val);
* obj.addAtIndex(index,val);
* obj.deleteAtIndex(index);
*/地址:反转链表
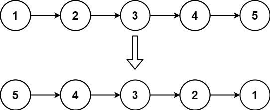
题意:反转一个单链表。
示例: 输入: 1->2->3->4->5->NULL 输出: 5->4->3->2->1->NULL

/**
* Definition for singly-linked list.
* public class ListNode {
* int val;
* ListNode next;
* ListNode() {}
* ListNode(int val) { this.val = val; }
* ListNode(int val, ListNode next) { this.val = val; this.next = next; }
* }
*/
class Solution {
public ListNode reverseList(ListNode head) {
//双指针方法
ListNode preNode = null;
ListNode curNode = head;
ListNode tempNode = null;
while(curNode != null){
//保存下一个节点
tempNode = curNode.next;
curNode.next = preNode;
preNode = curNode;
curNode = tempNode;
}
return preNode;
}
}双指针方法是最容易理解的,当然参考代码随想录,还有其他的两种方法就是递归方法和从后向前递归方法
递归:
class Solution {
public ListNode reverseList(ListNode head) {
return reverse(null, head);
}
private ListNode reverse(ListNode prev, ListNode cur) {
if (cur == null) {
return prev;
}
ListNode temp = null;
temp = cur.next;// 先保存下一个节点
cur.next = prev;// 反转
// 更新prev、cur位置
// prev = cur;
// cur = temp;
return reverse(cur, temp);
}
}从后向前递归
class Solution {
ListNode reverseList(ListNode head) {
// 边缘条件判断
if(head == null) return null;
if (head.next == null) return head;
// 递归调用,翻转第二个节点开始往后的链表
ListNode last = reverseList(head.next);
// 翻转头节点与第二个节点的指向
head.next.next = head;
// 此时的 head 节点为尾节点,next 需要指向 NULL
head.next = null;
return last;
}
}地址:两两交换链表中的节点
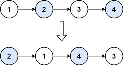
给你一个链表,两两交换其中相邻的节点,并返回交换后链表的头节点。你必须在不修改节点内部的值的情况下完成本题(即,只能进行节点交换)。

思路:
使用虚拟头结点

/**
* Definition for singly-linked list.
* public class ListNode {
* int val;
* ListNode next;
* ListNode() {}
* ListNode(int val) { this.val = val; }
* ListNode(int val, ListNode next) { this.val = val; this.next = next; }
* }
*/
class Solution {
public ListNode swapPairs(ListNode head) {
//使用虚拟头结点来操作
ListNode dumpNode = new ListNode(-1);
dumpNode.next = head;
ListNode curNode = dumpNode;
//定义三个临时节点
ListNode firstNode;//两个节点中的第一个节点
ListNode secondeNode;//两个节点中的第二个节点
ListNode temp;两个节点后面的节点
while(curNode.next!=null && curNode.next.next != null){
temp = curNode.next.next.next;
firstNode = curNode.next;
secondeNode =curNode.next.next;
//进行交换
curNode.next = secondeNode;
secondeNode.next = firstNode;
firstNode.next = temp;
//下一轮循环
curNode = firstNode;
}
return dumpNode.next;
}
}地址:删除链表倒数第N个节点
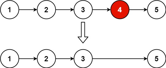
给你一个链表,删除链表的倒数第 n 个结点,并且返回链表的头结点。

/**
* Definition for singly-linked list.
* public class ListNode {
* int val;
* ListNode next;
* ListNode() {}
* ListNode(int val) { this.val = val; }
* ListNode(int val, ListNode next) { this.val = val; this.next = next; }
* }
*/
class Solution {
public ListNode removeNthFromEnd(ListNode head, int n) {
//使用快慢指针方法
ListNode dumpNode = new ListNode(0);
dumpNode.next = head;
//定义快慢指针
ListNode fastIndex = dumpNode;
ListNode slowIndex = dumpNode;
//快慢指针只要相差n即可
for(int i=0;i<=n;i++){
fastIndex = fastIndex.next;
}
while(fastIndex != null){
fastIndex = fastIndex.next;
slowIndex = slowIndex.next;
}
if(slowIndex.next != null){
slowIndex.next = slowIndex.next.next;
}
return dumpNode.next;
}
}地址:链表相交
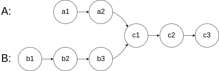
给你两个单链表的头节点 headA 和 headB ,请你找出并返回两个单链表相交的起始节点。如果两个链表没有交点,返回 null 。

简单来说,就是求两个链表交点节点的指针。 这里要注意,交点不是数值相等,而是指针相等。
/**
* Definition for singly-linked list.
* public class ListNode {
* int val;
* ListNode next;
* ListNode(int x) {
* val = x;
* next = null;
* }
* }
*/
public class Solution {
public ListNode getIntersectionNode(ListNode headA, ListNode headB) {
ListNode p1 = headA;
ListNode p2 = headB;
while(p1 != p2){
if(p1 == null){
p1 = headB;
}else{
p1 = p1.next;
}
if(p2 == null){
p2 = headA;
}else{
p2 = p2.next;
}
}
return p1;
}
}地址:环形链表II
题意: 给定一个链表,返回链表开始入环的第一个节点。 如果链表无环,则返回 null。
为了表示给定链表中的环,使用整数 pos 来表示链表尾连接到链表中的位置(索引从 0 开始)。 如果 pos 是 -1,则在该链表中没有环。
说明:不允许修改给定的链表。
思路:
判断链表是否有环,可以使用快慢指针法,分别定义 fast 和 slow 指针,从头结点出发,fast指针每次移动两个节点,slow指针每次移动一个节点,如果 fast 和 slow指针在途中相遇 ,说明这个链表有环。
判断链表是否有环
可以使用快慢指针法,分别定义 fast 和 slow 指针,从头结点出发,fast指针每次移动两个节点,slow指针每次移动一个节点,如果 fast 和 slow指针在途中相遇 ,说明这个链表有环。
此时已经可以判断链表是否有环了,那么接下来要找这个环的入口了。
假设从头结点到环形入口节点 的节点数为x。 环形入口节点到 fast指针与slow指针相遇节点 节点数为y。 从相遇节点 再到环形入口节点节点数为 z。 如图所示:

那么相遇时: slow指针走过的节点数为: x + y, fast指针走过的节点数:x + y + n (y + z),n为fast指针在环内走了n圈才遇到slow指针, (y+z)为 一圈内节点的个数A。
因为fast指针是一步走两个节点,slow指针一步走一个节点, 所以 fast指针走过的节点数 = slow指针走过的节点数 * 2:
(x + y) * 2 = x + y + n (y + z)两边消掉一个(x+y): x + y = n (y + z)
因为要找环形的入口,那么要求的是x,因为x表示 头结点到 环形入口节点的的距离。
所以要求x ,将x单独放在左面:x = n (y + z) - y ,
再从n(y+z)中提出一个 (y+z)来,整理公式之后为如下公式:x = (n - 1) (y + z) + z 注意这里n一定是大于等于1的,因为 fast指针至少要多走一圈才能相遇slow指针。
这个公式说明什么呢?
先拿n为1的情况来举例,意味着fast指针在环形里转了一圈之后,就遇到了 slow指针了。
当 n为1的时候,公式就化解为 x = z,
这就意味着,从头结点出发一个指针,从相遇节点 也出发一个指针,这两个指针每次只走一个节点, 那么当这两个指针相遇的时候就是 环形入口的节点。
也就是在相遇节点处,定义一个指针index1,在头结点处定一个指针index2。
让index1和index2同时移动,每次移动一个节点, 那么他们相遇的地方就是 环形入口的节点。
动画如下:

那么 n如果大于1是什么情况呢,就是fast指针在环形转n圈之后才遇到 slow指针。
其实这种情况和n为1的时候 效果是一样的,一样可以通过这个方法找到 环形的入口节点,只不过,index1 指针在环里 多转了(n-1)圈,然后再遇到index2,相遇点依然是环形的入口节点。
/**
* Definition for singly-linked list.
* class ListNode {
* int val;
* ListNode next;
* ListNode(int x) {
* val = x;
* next = null;
* }
* }
*/
public class Solution {
public ListNode detectCycle(ListNode head) {
//使用快慢指针来实现
ListNode slowNode = head;
ListNode fastNode = head;
while(fastNode != null && fastNode.next != null){
slowNode = slowNode.next;
fastNode = fastNode.next.next;
if(fastNode == slowNode){//有环
ListNode indexNode1 = head;
ListNode indexNode2 = slowNode;
while(indexNode1 != indexNode2){
indexNode1 = indexNode1.next;
indexNode2 = indexNode2.next;
}
return indexNode1;
}
}
return null;
}
}【ps】:所有的图片引用来自代码随想录,网址:代码随想录