

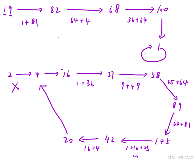
对于一个正整数我们替换为它每个位置上数字的平方和,不断重复这个过程就如上图所示。
这里需要补充的是根据鸽巢定理,n个巢穴,n + 1个鸽子,,将鸽子都安排进巢穴,那么不管怎么安排,至少有一个有一个巢穴里面鸽数大于1,我们这里取一个超过int范围的9999999999,我们按照上诉操作进行一次,数值变为810,那么如果我们继续对810变形,我们就会发现在这个过程中出现的数在[1,810]这个范围,这就意味着如果我们对9999999999变形超过810次,那么就一定会出现与[1,810]中数值重复的数。
以此类推,这就意味着一个数,我们对其进行尽可量的变化,最终要么这个数变为1,要么这个数无线循环变化下去。
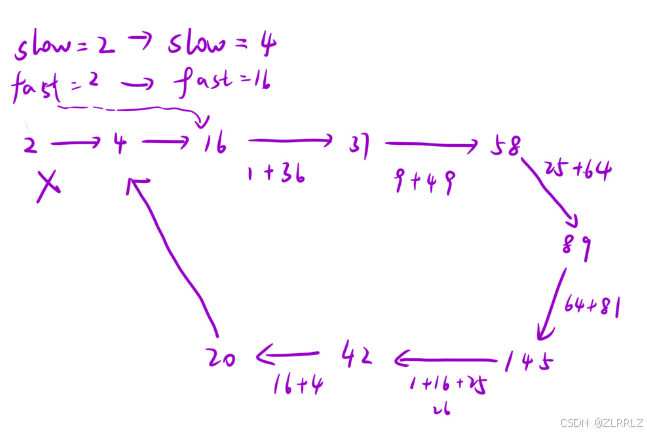
这题笔者采用的是快慢指针的做法,不过在正式完成这题之前,我们需要先了解一些前置知识。
首先存在两个指针fast、slow,fast一次走两步,slow一次走一步,那么,如果fast、slow遍历一个带环链表,fast、slow是否会相遇呢?结论是如果如果链表成环,fast与slow一定会成环,并且相遇的位置就是环的节点


我们可以看到L=(x-1)*C+C-N,因此,当head走完L的路程,mee会走完(X-1)圈回到fast、slow相遇的位置,再走C-N走到开始入环的第一个节点与head相遇。
至此我们所需要的前置知识完成(当然,对此有的读者会疑惑为什么fast速度一定要是slow的两倍,其他速度行不行,,限于那不是本文章的写作目的,笔者不详细展开讨论,对此有兴趣的读者,可以移步看这篇文章【初阶数据结构】链表经典OJ(8道))
回过头来我们发现这道题的计算过程就可以视作一个带环的链表(变为1的过程,可以视作1这个节点独自成环,1变化后还是1),因此,根据我们的前置知识,我们采用快慢指针来完成这道题目,fast一次走两步,slow一次走一步(指针这里只是一种抽象概率,大家不要被迷惑,我们这里可以通过fast一次计算两次,slow一次计算一次模拟。)

class Solution {
public:
int Sum(int num)//用来进行一次变化的函数
{
int s = 0;
while(num)
{
s += pow(num % 10,2);
num /= 10;
}
return s;
}
bool isHappy(int n) {
int slow = Sum(n),fast = Sum(Sum(n));
while(slow != fast)
{
slow = Sum(slow);//slow一次走一步
fast = Sum(Sum(fast));//fast指针一次走两步
}
return slow == 1;
}
};