https://leetcode.cn/problems/maximum-product-subarray/description/

状态表示:以某一个位置为结尾或者以某一个位置为起点 f[i]表示:以i位置为结尾的所有子树中的最大乘积 [i]表示:以i位置为结尾的所有子树中的最小乘积
2. 状态转移方程 f[i]分为两种情况:1. 长度为1 nums[i] 2. 长度大于1分为两种情况:a. nums[i] > 0 nums[i] * f[i-1] b. nums[i] < 0 nums[i] * g[i-1] f[i] = max(nums[i] , nums[i] * f[i-1] , nums[i] * g[i-1] )
g[i]分为两种情况:1. 长度为1 nums[i] 2. 长度大于1分为两种情况:a. nums[i] > 0 nums[i] * g[i-1] b. nums[i] < 0 nums[i] * f[i-1] g[i] = min(nums[i] , nums[i] * f[i-1] , nums[i] * g[i-1] ) nums[i]等于0并不影响结果,所以不用讨论

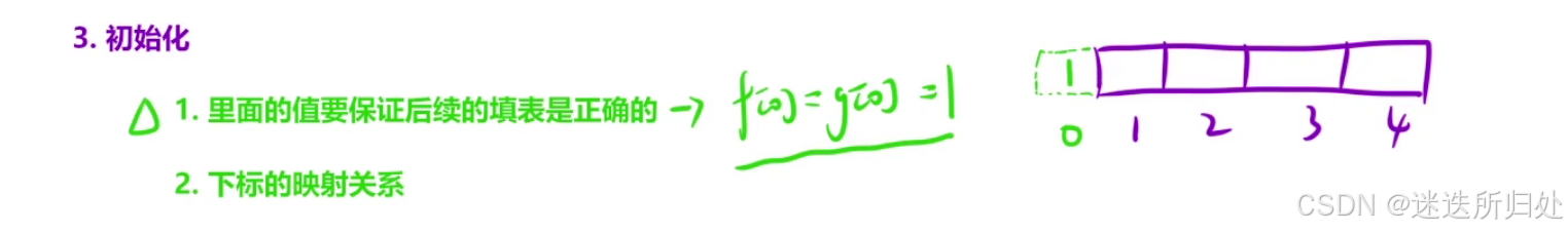
3. 初始化 :把dp表填满不越界,让后面的填表可以顺利进行 我们可以在左边加上一个虚拟节点,因为本题并不是加减而是乘,所以为了不影响最终结果就可以把这个虚拟节点初始化为1 本题的下标映射关系:下标统一往右移动一位

4. 填表顺序 本题的填表顺序是:从左往右,两个表一起填
5. 返回值 :题目要求 + 状态表示 本题的返回值是:f表里的最大值
动态规划的固定四步骤:1. 创建一个dp表 2. 在填表之前初始化 3. 填表(填表方法:状态转移方程) 4. 确定返回值
class Solution {
public:
int maxProduct(vector<int>& nums) {
//1. 创建一个dp表
int n=nums.size();
vector<int>f(n+1),g(n+1);
//2. 在填表之前初始化
f[0]=g[0]=1;
//3. 填表(填表方法:状态转移方程)
//因为返回值是返回f表里的最大值,所以先定义一个变量记录一下最终结果
int ret=INT_MIN;//因为要求最大值,所以定义无穷小
for(int i=1;i<=n;i++)
{
//先将三种状态放到三个临时变量里
//因为加了一个虚拟节点,所下标要-1
int x=nums[i-1],y=f[i-1]*nums[i-1],z=g[i-1]*nums[i-1];
f[i]=max(x,max(y,z));
g[i]=min(x,min(y,z));
ret=max(ret,f[i]);
}
//4. 确定返回值
return ret;
}
};未完待续~