链表作为一种基础的数据结构,在很多地方会用到。如在Linux内核代码,redis源码,python源码中都有使用。除了单向链表,还有双向链表,本文主要关注单向链表(含部分循环链表题目,会在题目中注明,其他情况都是讨论简单的单向链表)。双向链表在redis中有很好的实现,也在我的仓库中拷贝了一份用于测试用,本文的相关代码在 这里。
https://github.com/shishujuan/data-structure-algorithms
先定义一个单向链表结构,如下,定义了链表结点和链表两个结构体。这里我没有多定义一个链表的结构体,保存头指针,尾指针,链表长度等信息,目的也是为了多练习下指针的操作。
// aslist.h
// 链表结点定义
typedef struct ListNode {
struct ListNode *next;
int value;
} listNode;
在上一节的链表定义基础上,我们完成几个基本操作函数,包括链表初始化,链表中添加结点,链表中删除结点等。
/**
* 创建链表结点
*/
ListNode *listNewNode(int value)
{
ListNode *node;
if (!(node = malloc(sizeof(ListNode))))
return NULL;
node->value = value;
node->next = NULL;
return node;
}
/**
* 头插法插入结点。
*/
ListNode *listAddNodeHead(ListNode *head, int value)
{
ListNode *node;
if (!(node = listNewNode(value)))
return NULL;
if (head)
node->next = head;
head = node;
return head;
}
/**
* 尾插法插入值为value的结点。
*/
ListNode *listAddNodeTail(ListNode *head, int value)
{
ListNode *node;
if (!(node = listNewNode(value)))
return NULL;
return listAddNodeTailWithNode(head, node);
}
/**
* 尾插法插入结点。
*/
ListNode *listAddNodeTailWithNode(ListNode *head, ListNode *node)
{
if (!head) {
head = node;
} else {
ListNode *current = head;
while (current->next) {
current = current->next;
}
current->next = node;
}
return head;
}
/**
* 从链表删除值为value的结点。
*/
ListNode *listDelNode(ListNode *head, int value)
{
ListNode *current=head, *prev=NULL;
while (current) {
if (current->value == value) {
if (current == head)
head = head->next;
if (prev)
prev->next = current->next;
free(current);
break;
}
prev = current;
current = current->next;
}
return head;
}
/**
* 链表遍历。
*/
void listTraverse(ListNode *head)
{
ListNode *current = head;
while (current) {
printf("%d", current->value);
printf("->");
current = current->next;
if (current == head) // 处理首尾循环链表情况
break;
}
printf("NULL\n");
}
/**
* 使用数组初始化一个链表,共len个元素。
*/
ListNode *listCreate(int a[], int len)
{
ListNode *head = NULL;
int i;
for (i = 0; i < len; i++) {
if (!(head = listAddNodeTail(head, a[i])))
return NULL;
}
return head;
}
/**
* 链表长度函数
*/
int listLength(ListNode *head)
{
int len = 0;
while (head) {
len++;
head = head->next;
}
return len;
}题: 给定一个单向链表 1->2->3->NULL,逆序后变成 3->2->1->NULL。
解:常见的是用的循环方式对各个结点逆序连接,如下:
/**
* 链表逆序,非递归实现。
*/
ListNode *listReverse(ListNode *head)
{
ListNode *newHead = NULL, *current = head;
while (current) {
ListNode *next = current->next;
current->next = newHead;
newHead = current;
current = next;
}
return newHead;
}如果带点炫技性质的,那就来个递归的解法,如下:
/**
* 链表逆序,递归实现。
*/
ListNode *listReverseRecursive(ListNode *head)
{
if (!head || !head->next) {
return head;
}
ListNode *reversedHead = listReverseRecursive(head->next);
head->next->next = head;
head->next = NULL;
return reversedHead;
}题: 给定一个单向链表,复制并返回新的链表头结点。
解:同样可以有两种解法,非递归和递归的,如下:
/**
* 链表复制-非递归
*/
ListNode *listCopy(ListNode *head)
{
ListNode *current = head, *newHead = NULL, *newTail = NULL;
while (current) {
ListNode *node = listNewNode(current->value);
if (!newHead) { // 第一个结点
newHead = newTail = node;
} else {
newTail->next = node;
newTail = node;
}
current = current->next;
}
return newHead;
}
/**
* 链表复制-递归
*/
ListNode *listCopyRecursive(ListNode *head)
{
if (!head)
return NULL;
ListNode *newHead = listNewNode(head->value);
newHead->next = listCopyRecursive(head->next);
return newHead;
}题: **已知两个有序单向链表,请合并这两个链表,使得合并后的链表仍然有序(注:****这两个链表没有公共结点,即不交叉)。**如链表1是 1->3->4->NULL,链表2是 2->5->6->7->8->NULL,则合并后的链表为 1->2->3->4->5->6->7->8->NULL。
解:这个很类似归并排序的最后一步,将两个有序链表合并到一起即可。使用2个指针分别遍历两个链表,将较小值结点归并到结果链表中。如果一个链表归并结束后另一个链表还有结点,则把另一个链表剩下部分加入到结果链表的尾部。代码如下所示:
/**
* 链表合并-非递归
*/
ListNode *listMerge(ListNode *list1, ListNode *list2)
{
ListNode dummy; // 使用空结点保存合并链表
ListNode *tail = &dummy;
if (!list1)
return list2;
if (!list2)
return list1;
while (list1 && list2) {
if (list1->value <= list2->value) {
tail->next = list1;
tail = list1;
list1 = list1->next;
} else {
tail->next = list2;
tail = list2;
list2 = list2->next;
}
}
if (list1) {
tail->next = list1;
} else if (list2) {
tail->next = list2;
}
return dummy.next;
}当然,要实现一个递归的也不难,代码如下:
ListNode *listMergeRecursive(ListNode *list1, ListNode *list2)
{
ListNode *result = NULL;
if (!list1)
return list2;
if (!list2)
return list1;
if (list1->value <= list2->value) {
result = list1;
result->next = listMergeRecursive(list1->next, list2);
} else {
result = list2;
result->next = listMergeRecursive(list1, list2->next);
}
return result;
}题: 已知两个单向链表list1,list2,判断两个链表是否相交。如果相交,请找出相交的结点。
解1:可以直接遍历list1,然后依次判断list1每个结点是否在list2中,但是这个解法的复杂度为 O(length(list1) * length(list2))。当然我们可以遍历list1时,使用哈希表存储list1的结点,这样再遍历list2即可判断了,时间复杂度为O(length(list1) + length(list2)),空间复杂度为 O(length(list1)),这样相交的结点自然也就找出来了。当然,找相交结点还有更好的方法。
解2:两个链表如果相交,那么它们从相交后的节点一定都是相同的。假定list1长度为len1,list2长度为len2,且 len1 > len2,则我们只需要将 list1 先遍历 len1-len2个结点,然后两个结点一起遍历,如果遇到相等结点,则该结点就是第一个相交结点。
/**
* 链表相交判断,如果相交返回相交的结点,否则返回NULL。
*/
ListNode *listIntersect(ListNode *list1, ListNode *list2)
{
int len1 = listLength(list1);
int len2 = listLength(list2);
int delta = abs(len1 - len2);
ListNode *longList = list1, *shortList = list2;
if (len1 < len2) {
longList = list2;
shortList = list1;
}
int i;
for (i = 0; i < delta; i++) {
longList = longList->next;
}
while (longList && shortList) {
if (longList == shortList)
return longList;
longList = longList->next;
shortList = shortList->next;
}
return NULL;
}题: 给定一个链表,判断链表中是否存在环。

解1:容易想到的方法就是使用一个哈希表记录出现过的结点,遍历链表,如果一个结点重复出现,则表示该链表存在环。如果不用哈希表,也可以在链表结点 ListNode 结构体中加入一个 visited字段做标记,访问过标记为1,也一样可以检测。由于目前我们还没有实现一个哈希表,这个方法代码后面再加。
解2:更好的一种方法是 Floyd判圈算法,该算法最早由罗伯特.弗洛伊德发明。通过使用两个指针fast和slow遍历链表,fast指针每次走两步,slow指针每次走一步,如果fast和slow相遇,则表示存在环,否则不存在环。(注意,如果链表只有一个节点且没有环,不会进入while循环)
/**
* 检测链表是否有环-Flod判圈算法
* 若存在环,返回相遇结点,否则返回NULL
*/
ListNode *listDetectLoop(ListNode *head)
{
ListNode *slow, *fast;
slow = fast = head;
while (slow && fast && fast->next) {
slow = slow->next;
fast = fast->next->next;
if (slow == fast) {
printf("Found Loop\n");
return slow;
}
}
printf("No Loop\n");
return NULL;
}
void testListDetectLoop()
{
printf("\nTestListDetectLoop\n");
int a[] = {1, 2, 3, 4};
ListNode *head = listCreate(a, ALEN(a));
listDetectLoop(head);
// 构造一个环
head->next->next->next = head;
listDetectLoop(head);
}扩展:检测到有环的话,那要如何找链表的环的入口点呢?
首先,我们来证明一下为什么上面的解2提到的算法是正确的。如果链表不存在环,因为快指针每次走2步,必然会比慢指针先到达链表尾部,不会相遇。
如果存在环,假定快慢指针经过s次循环后相遇,则此时快指针走的距离为 2s,慢指针走的距离为 s,假定环内结点数为r,则要相遇则必须满足下面条件,即相遇时次数满足 s = nr。即从起点之后下一次相遇需要循环 r 次。
2s - s = nr => s = nr环长度r=4,则从起点后下一次相遇需要经过4次循环。
那么环的入口点怎么找呢?前面已经可知道第一次相遇要循环 r 次,而相遇时慢指针走的距离为 s=r,设链表总长度为L,链表头到环入口的距离为a,环入口到相遇点的距离为x,则L = a + r,可以推导出 a = (L-x-a),其中L-x-a为相遇点到环入口点的距离,即链表头到环入口的距离a等于相遇点到环入口距离。
s = r = a + x => a + x = (L-a) => a = L-x-a于是,在判断链表存在环后,从相遇点和头结点分别开始遍历,两个指针每次都走一步,当两个指针相等时,就是环的入口点。
/**
* 查找链表中环入口
*/
ListNode *findLoopNode(ListNode *head)
{
ListNode *meetNode = listDetectLoop(head);
if (!meetNode)
return NULL;
ListNode *headNode = head;
while (meetNode != headNode) {
meetNode = meetNode->next;
headNode = headNode->next;
}
return meetNode;
}题: **给定两个链表,每个链表的结点值为数字的各位上的数字,试求出两个链表所表示数字的和,并将结果以链表形式返回。****假定两个链表分别为list1和list2,list1各个结点值分别为数字513的个位、十位和百位上的数字,同理list2的各个结点值为数字295的各位上的数字。**则这两个数相加为808,所以输出按照从个位到百位顺序输出,返回的结果链表如下。
list1: (3 -> 1 -> 5 -> NULL)
list2: (5 -> 9 -> 2 -> NULL)
result: (8 -> 0 -> 8 -> NULL)解:这个题目比较有意思,需要对链表操作比较熟练。我们考虑两个数字相加过程,从低位到高位依次相加,如果有进位则标记进位标志,直到最高位才终止。设当前位的结点为current,则有:
current->data = list1->data + list2->data + carry
(其中carry为低位的进位,如果有进位为1,否则为0)非递归代码如下:
/**
* 链表模拟加法-非递归解法
*/
ListNode *listEnumarateAdd(ListNode *list1, ListNode *list2)
{
int carry = 0;
ListNode *result = NULL;
while (list1 || list2 || carry) {
int value = carry;
if (list1) {
value += list1->value;
list1 = list1->next;
}
if (list2) {
value += list2->value;
list2 = list2->next;
}
result = listAddNodeTail(result, value % 10);
carry = ( value >= 10 ? 1: 0);
}
return result;
}非递归实现如下:
/**
* 链表模拟加法-递归解法
*/
ListNode *listEnumarateAddRecursive(ListNode *list1, ListNode *list2, int carry)
{
if (!list1 && !list2 && carry==0)
return NULL;
int value = carry;
if (list1)
value += list1->value;
if (list2)
value += list2->value;
ListNode *next1 = list1 ? list1->next : NULL;
ListNode *next2 = list2 ? list2->next : NULL;
ListNode *more = listEnumarateAddRecursive(next1, next2, (value >= 10 ? 1 : 0));
ListNode *result = listNewNode(carry);
result->value = value % 10;
result->next = more;
return result;
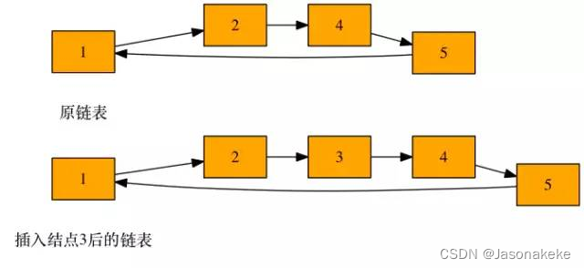
}题: 已知一个有序的单向循环链表,插入一个结点,仍保持链表有序,如下图所示。

解:在解决这个问题前,我们先看一个简化版本,就是在一个有序无循环的单向链表中插入结点,仍然保证其有序。这个问题的代码相信多数人都很熟悉,一般都是分两种情况考虑:
实现代码如下:
/**
* 简化版-有序无循环链表插入结点
*/
ListNode *sortedListAddNode(ListNode *head, int value)
{
ListNode *node = listNewNode(value);
if (!head || head->value >= value) { //情况1
node->next = head;
head = node;
} else { //情况2
ListNode *current = head;
while (current->next != NULL && current->next->value < value)
current = current->next;
node->next = current->next;
current->next = node;
}
return head;
}当然这两种情况也可以一起处理,使用二级指针。如下:
/**
* 简化版-有序无循环链表插入结点(两种情况一起处理)
*/
void sortedListAddNodeUnify(ListNode **head, int value)
{
ListNode *node = listNewNode(value);
ListNode **current = head;
while ((*current) && (*current)->value < value) {
current = &((*current)->next);
}
node->next = *current;
*current = node;
}接下来看循环链表的情况,其实也就是需要考虑下面2点:
1) prev->value ≤ value ≤ current->value: 插入到prev和current之间。
2) value为最大值或者最小值: 插入到首尾交接处,如果是最小值重新设置head值。
代码如下:
/**
* 有序循环链表插入结点
*/
ListNode *sortedLoopListAddNode(ListNode *head, int value)
{
ListNode *node = listNewNode(value);
ListNode *current = head, *prev = NULL;
do {
prev = current;
current = current->next;
if (value >= prev->value && value <= current->value)
break;
} while (current != head);
prev->next = node;
node->next = current;
if (current == head && value < current->value) // 判断是否要设置链表头
head = node;
return head;
}题: 给定一个简单的单向链表,输出链表的倒数第K个结点。
解1:如果是顺数第K个结点,不用多思考,直接遍历即可。这个题目的新意在于它是要输出倒数第K个结点。一个直观的想法是,假定链表长度为L,则倒数第K个结点就是顺数的 L-K+1 个结点。如链表长度为3,倒数第2个,就是顺数的第2个结点。这样需要遍历链表2次,一次求长度,一次找结点。
/**
* 链表倒数第K个结点-遍历两次算法
*/
ListNode *getLastKthNodeTwice(ListNode *head, int k)
{
int len = listLength(head);
if (k > len)
return NULL;
ListNode *current = head;
int i;
for (i = 0; i < len-k; i++) //遍历链表,找出第N-K+1个结点
current = current->next;
return current;
}解2:当然更好的一种方法是遍历一次,设置两个指针p1,p2,首先p1和p2都指向head,然后p2向前走k步,这样p1和p2之间就间隔k个节点。最后p1和p2同时向前移动,p2走到链表末尾的时候p1刚好指向倒数第K个结点。代码如下:
/**
* 链表倒数第K个结点-遍历一次算法
*/
ListNode *getLastKthNodeOnce(ListNode *head, int k)
{
ListNode *p1, *p2;
p1 = p2 = head;
for(; k > 0; k--) {
if (!p2) // 链表长度不够K
return NULL;
p2 = p2->next;
}
while (p2) {
p1 = p1->next;
p2 = p2->next;
}
return p1;
}https://www.geeksforgeeks.org/detect-loop-in-a-linked-list/ http://www.cppblog.com/humanchao/archive/2008/04/17/47357.html https://www.geeksforgeeks.org/find-first-node-of-loop-in-a-linked-list/ https://www.geeksforgeeks.org/merge-two-sorted-linked-list-without-duplicates/