
离散,离散,不如先说什么是离散时间信号。

就是这样的
离散时间信号是指在离散的时间点上取值的信号。与连续时间信号(如模拟信号)不同,离散时间信号只在特定的、等间隔的时间点上有定义。
x[n],其中 n 表示离散时间点,x[n] 表示在时刻 n 的信号值。我个人觉得最重要的区别是,这些变换把我们的信号带到了不同的变换域,这就最大的区别。当然我会详细的说明域的不同。

yes
上面是域,下面就是DTFT和DFT的区别了:
有一个离散时间信号x[n],我们想分析它的频谱特性。

我随便找了本书看,差不多的

某种程度上说这就是数字处理的全部了
假设有一个离散时间信号x[n],我们可以对其进行Z变换、DTFT和DFT,得到不同的变换结果。

小张带你看看信号与系统三大变换(骂骂咧咧版)
当然拉普拉斯修改参数值就可以得到傅里叶变换。不知道你有没有发现,其实上面还是变换的是连续的函数,就是说,有衰减因子,离散版本的拉普拉斯转换还没有着落呢!Z变换就是有衰减因子,离散版本的拉普拉斯转换。 骄傲的引用自己
说实话是有一些要区分的点的,有点头大。
在长篇大论之前,wiki的解释很棒!
在数学中,离散时间傅里叶变换(DTFT)是傅里叶分析的一种形式,适用于连续函数的均匀间隔采样。
离散时间是指对采样间隔通常以时间为单位的离散数据(样本)的变换。仅根据这些样本,它就可以产生原始连续函数的连续傅里叶变换的周期求和的以频率为变量的函数。在采样定理所描述的一定理论条件下,可以由DTFT完全恢复出原来的连续函数,因此也能从原来的离散样本恢复。DTFT本身是频率的连续函数,但可以通过离散傅里叶变换(DFT)很容易计算得到它的离散样本,而DFT是迄今为止现代傅里叶分析最常用的方法。
这两种变换都是可逆的。离散时间傅里叶逆变换得到的是原始采样数据序列。离散傅里叶逆变换是原始序列的周期求和。快速傅里叶变换(FFT)是用于计算DFT的一个周期的算法,而它的逆变换会产生一个周期的离散傅里叶逆变换。

不可能不放公式的
DFT(Discrete Fourier Transform)是离散傅里叶变换的缩写,是一种将有限长离散时间信号从时域变换到频域的数学方法。简单来说,就是将一个序列(如声音信号的采样值)分解为不同频率的正弦波的叠加。
DFT的计算:
X(k) = Σ(n=0 to N-1) x(n) * exp(-j*2π*k*n/N)为了提高DFT的计算效率,人们提出了快速傅里叶变换(FFT)算法。FFT算法将DFT的计算复杂度从O(N^2)降低到了O(NlogN),大大提高了计算速度。

FFT,蝶形算法
我觉得就这样应该是解释通了,至于计算上面的细节,那我需要计算的事情。
聊聊复频域吧!
复频域是通过拉普拉斯变换或Z变换将时域信号转换得到的域。在复频域中,信号用一个复变量s(或z)的函数来表示。这个复变量s包含了实部σ和虚部jω两部分:
连续频域没有人那么多的研究,但是它也是和上面的域有着千丝万缕的联系。
假设有一个连续时间信号x(t),它的拉普拉斯变换为X(s)。
把复频域想象成一个三维空间,其中横轴表示实部σ,纵轴表示虚部ω。在这个空间中,每个点都对应一个复频率。而连续频域则相当于这个三维空间中σ=0的一个平面。
这里我又要补充一些内容关于离散这个事情:一开始是写的,离散时间的周期信号的傅里叶级数,前面的离散时间没得说,我们的研究对象,周期信号和非周期信号,是要先研究周期信号的,因为把非周期信号可以两边延拓为周期信号,至于傅里叶级数,那只是我们从连续到离散的一个梯子。
(连续)离散时间,周期信号的傅里叶级数表示.完全推导版 , 这篇写的很清楚了,但是我还是觉得有必要重新摘取一些有用的。


事实上,最后给出的结果就是这样,最引人注目的地方就是它的周期性。

我们一般是对偶的看这两个
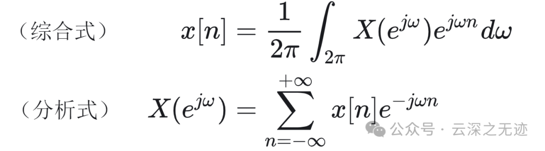
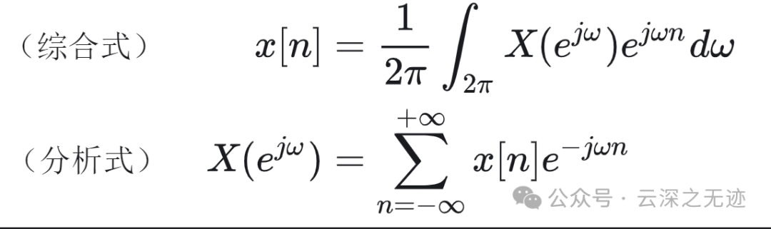
在周期离散信号的基础上我们才开始走向离散时间傅里叶变换(DTFT)
上面是级数,下面是变换:

上面是一个非周期的信号,但是延拓出了周期信号,两边copy

从周期走向非周期,中间的变化是重点

上面也放过,但是这里也要有
OK,我记得推倒的时候较为突兀的定义过一个函数,后来想通了,过了几天又忘了。

在这个公式里面,第一个是周期信号,然后是对一个周期求和。接下来是在这个区间之外都是周期信号等于一个常信号。

第三个成立是因为这样的

文章中说定义这个函数
其实在形式上面看就是第三个公式的样子,不过是,kω变换了,其实就是k没有了,因为上面是系数中表征变几次谐波的参数

三式

下面这个解释就对了

反正就是我们通过变换其实是得到了一个非周期的片段的系数是什么样

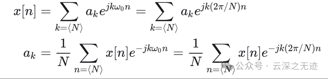
然后把这个系数带入:离散时间周期信号的傅里叶级数对中的综合公式

接着看这个,其实还是在对上面的公式做变换,就是系数在非周期的情况下,对角频率公式做变换。带入公式,1/N换成了ω0/2π。

就得到了有些怪异的这个,这个公式是出现了两个e函数

是因为经过变换以后,就是系数上面的变换

就是说这上下两个公式是一样的,这个括号里面的(e)其实是Ak的系数给的。

所以在代入之后,出现了这样的结构

接着处理这个有限项求和

上面公式的可视化就是这个面积

也就是说这个离散非周期时间傅里叶变换,天然的带着周期
一个周期信号 𝑥~[𝑛] 的傅里叶系数 𝑎𝑘 可以用一个有限长序列 𝑥[𝑛] 的傅里叶变换 𝑋(𝑒𝑗𝜔) 的等间隔样本来表示,这个 𝑥[𝑛] 就是 𝑥~[𝑛] 的一个周期,而在其余地方为零。这一点在实际的信号处理和傅里叶分析中极为重要。
离散时间傅里叶变换和连续时间情况相比具有许多类似之处。
两者的主要差别在于离散时间变换 𝑋(𝑒^𝑗𝜔) 的周期性和在综合公式中的有限积分区间。这两者均来自这样一个事实:在频率上相差 2𝜋 的离散时间复指数信号 𝑒^𝑗𝜔𝑛 是完全一样的。

这个是离散时间周期信号
对周期离散时间信号而言,这就意味着傅里叶级数系数也是周期的,并且傅里叶级数表示式是一个有限项的和式。
对非周期信号而言,这就意味着 𝑋(𝑒^𝑗𝜔) 也是周期的(周期为 2𝜋 ),并且综合公式只涉及在一个频率区间内的积分,这个频率区间就是产生不同复指数信号的那个间隔,即任何 2𝜋 长度的间隔。
前面指出离散时间指数信号与正弦信号,𝑒^𝑗𝜔𝑛 作为 𝜔 函数的周期性导致的结果是:𝜔=0 和 𝜔=2𝜋 都得出同一个信号。
因此,位于这些频率值或任何 𝜋 偶数倍的 𝜔 附近都是慢变化的,从而都属于低频率的信号;而靠近 𝜋 的奇数倍的 𝜔 ,在离散时间情况下都属于高的频率。

奇数是高频率

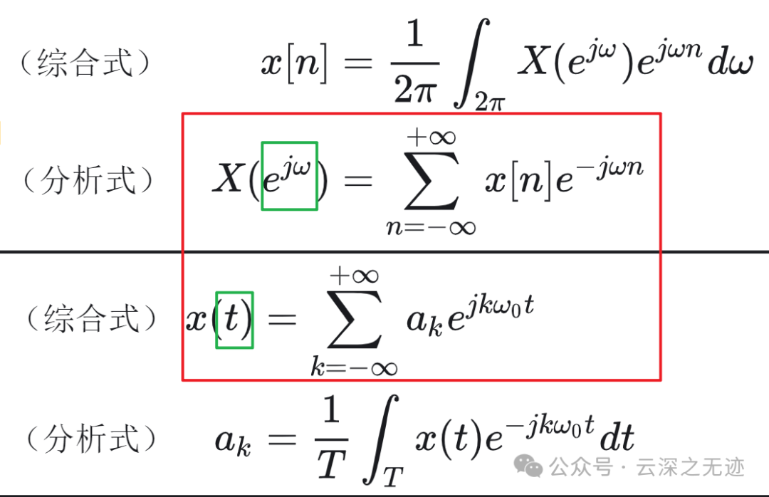
如果单看这个图像,不看轴
这个又是一个连续周期性的图形,似乎应该可以用连续时间傅里叶级数的分析式。和方波差不多。

上面是非周期离散时间的傅里叶级数变换,下面是连续时间傅里叶级数对重写。
可以看到都是中间积分式, 且 𝑥[𝑛] 和 𝑎𝑘 都是离散的序列,中间都是无穷项求和,求和的结果 𝑋(𝑒𝑗𝜔) 和 𝑥(𝑡) 都是连续的周期函数。这真是有趣的现象!
连续时间周期信号的傅里叶级数对,如果换种理解角度,就变成了离散时间傅里叶变换了。

下面是一个例题
a展示出了 𝑎>0 时,𝑋(𝑒𝑗𝜔) 的模和相位;b展示出 𝑎<0 时的模和相位。
应该注意,图中所有这些函数都是周期为 2𝜋 的周期函数。
上述导出离散时间傅里叶变换过程中,将非周期信号 𝑥[𝑛] 看成周期序列 𝑥~[𝑛] 的一个周期,这意味着非周期信号 𝑥[𝑛] 一定是有限长的?
事实上,离散时间傅里叶变换对也适用于无限长的非周期序列 𝑥[𝑛] ,但由于分析式是无限项求和,此时需要考虑收敛性问题。


https://zhuanlan.zhihu.com/p/640055182大量参考唐老师的文章,不愧是老师
奥本海姆的书确实是好,但是⛓️太长了。
吴大正书籍,其实他的书里面不严格区分周期不周期的事情(区分的)

这章称为序列分析,一开始也是使用周期序列的离散傅里叶级数入手的

给了一道例题

DTFT的推倒很紧凑,值得好好看,但是推倒思想是一样的,符号是不统一的


书里面给出了一个重要的看法,周期和域之间是对偶的
下面是一个DSP的东西,不写了。


https://arm-software.github.io/CMSIS-DSP/latest/https://arm-software.github.io/CMSIS_6/latest/DSP/index.html#autotoc_md1https://www.keil.arm.com/packs/?page=2https://www.arm.com/technologies/cmsis