
越来越多的证据表明,精神疾病,如重度抑郁症(MDD)和自闭症谱系障碍(ASD),并不是单一的疾病,而是包含多种共现症状和不同治疗反应的异质性综合征。这种临床异质性阻碍了精准诊断和治疗效果的进展。在本研究中,我们提出了一种新的可解释图神经网络 (GNN) 框架——BPI-GNN,用于分析功能磁共振图像(fMRI),利用了著名的原型学习。此外,我们引入了一种新的原型子图生成过程,以发现不同原型的关键边缘,并使用总相关性 (TC) 来确保不同原型子图模式的独立性。BPI-GNN能够有效地区分精神病患者和健康对照 (HC),并识别具有生物学意义的精神疾病亚型。我们对三个精神病数据集上的 11 种流行脑网络分类方法的性能进行了评估,发现我们的 BPI-GNN 总是获得最高的诊断准确性。更重要的是,我们检查了识别出的亚型在临床症状和基因表达谱方面的差异,并观察到我们识别出的基于大脑的亚型具有临床相关性。它还发现了与当前神经科学知识一致的亚型生物标志物。
2. 引言
精神疾病是全球医疗系统造成广泛社会和经济负担的主要原因之一,并严重损害受影响者的福祉。尽管经过数十年的研究,精神病学中统一或确定的生物标志物仍然不确定。一个可能的原因是,目前的精神疾病诊断主要基于临床症状和体征,而不是潜在的生物学机制。例如,当患者表现出九种临床症状中的五种(如情绪低落、快感缺失和认知障碍等)时,他们被诊断为重度抑郁症 (MDD),这导致了具有相同诊断的患者之间的高度临床异质性。由于这种临床异质性,研究人员无法通过传统的病例对照研究(将所有具有相同诊断的患者与健康对照进行比较)获得可靠的生物标志物。更重要的是,它阻碍了精神疾病治疗效果和结果的进展。
为了应对这一问题,发布了研究领域标准 (RDoC) 计划,并启动了“精神病学精准医学”项目。其核心思想是基于潜在的生物学和认知测量来识别精神疾病亚型,而不仅仅依赖于传统的症状诊断方法。迄今为止,一些研究已经开始利用静息态功能磁共振成像 (fMRI) 这一特别有用的方式来研究精神疾病的生物学意义亚型。fMRI 是一种非侵入性的神经影像技术,它通过计算 fMRI 时间序列的成对相关性(功能连接,FC)作为特征,来研究各种患者群体中的神经生物学和精神病亚型。大多数现有的神经影像学研究都使用混合框架,包括特征选择(例如,典型相关分析 (CCA) 和自动编码器 (AutoEncoder))和无监督方法(例如,层次聚类和 k-means 聚类)。具体来说,研究人员首先使用特征选择方法获得低维表示或相对较少的FC,然后将这些低维生物特征应用于无监督学习方法,以识别精神疾病的亚型。然而,现有的精神疾病亚型研究方法容易导致次优解决方案,因为很难保证所使用的特征选择和无监督学习方法是最优和最适合的。此外,由于缺乏下游任务的真实情况,这些框架可能会得到不一致的结果和不可靠甚至不准确的预测,例如亚型数量不一致。
原型学习是一种基于案例的推理,通过将新实例与一组学习到的范例案例进行比较,促进了对新实例的预测。到目前为止,原型学习的概念已经被集成到图像识别(图1)中,以提高可解释性,从而能够提供子类型级的解释。例如,ProtoPNet利用原型学习和卷积神经网络(CNN)的融合,获取特定类别中的原型部分,并产生直观的图像解释。然而,目前对于将原型学习应用于图形分类任务或大脑网络分析,还没有令人信服的先例。

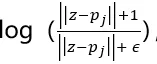
图1. 传统的图像识别原型学习。给定一个输入图像𝐼,框架使用卷积神经网络(CNN)𝑓提取图像表示𝑍=𝑓(𝐼),并学习𝑛原型向量𝑃={𝑝𝑖}𝑛𝑖=1。随后,框架计算𝑗th原型𝑝𝑗与所有𝑍补丁之间的距离,然后将其进行反转,得到相似度得分𝑠𝑖𝑚(𝑍,𝑝𝑗)= max𝑧∈patches(𝑍)

,其中𝜖被设置为一个小值,如1e-4。然后在这些相似度得分之后是全局最大池,从而得到一个单一的相似度得分。最后,将𝑛相似度得分发送到全连通层,以产生输出概率。
为了克服这些挑战,图神经网络 (GNN) 因其处理图结构数据的强大能力,最近在功能磁共振成像 (fMRI) 研究中获得了广泛关注。具体来说,GNN 可以直接在脑网络图上操作,保留原始图结构信息,而无需将其转换为矢量表示。这使得 GNN 能够捕捉脑区之间复杂的非线性关系,而这些关系在传统方法中可能会丢失。现有的基于GNN 的方法已经显示出在精神疾病诊断中的有效性,但它们主要集中于区分患者和健康对照 (HC),而没有考虑精神疾病的异质性。此外,尽管这些方法在预测性能上表现良好,但它们通常缺乏可解释性,使得很难理解模型做出决策的原因。为了解决这些问题,我们提出了一种新的基于图神经网络的框架——BPI-GNN(Brain Prototype-based Interpretable Graph Neural Network),用于精神疾病的诊断和亚型划分。我们的主要贡献如下:
总之,我们提出的 BPI-GNN 框架不仅在精神疾病诊断中表现出色,而且在识别和解释精神疾病亚型方面具有很大的潜力。我们的研究为精神病学精准医学的发展提供了新的方向和工具。

图2. 脑网络分析的原型学习(例如,BPI-GNN)。静息态功能磁共振成像数据进行预处理,随后使用图谱将其划分为感兴趣的区域。然后通过ROI之间的皮尔逊相关性生成功能连接(FC)矩阵。这些FC矩阵被用来构建大脑功能图。然后,BPI-GNN生成一组原型子图,并学习𝑛原型向量。随后,BPI-GNN计算了原型和原型子图之间的相似性。最后,将𝑛相似度得分发送到全连通层,以产生输出概率。
3. 背景知识
图神经网络(GNNs)利用消息传递机制,沿着输入图的边缘有效地传播和聚合信息,从而获得表达性节点表示。GNN架构由𝐿层组成,每个层包括三个基本步骤。(1)首先,在第 层 GNN 中,为每条边计算消息,其中 和 分别对应于前一层中节点和 的表示,

。(2)其次,对于每个节点 ,GNN 从其邻域 中聚合接收到的消息,使用一个聚合函数:

。(3) 最后,GNN 通过应用函数

更新每个节点的向量表示,其中聚合后的消息和当前节点表示作为输入。最终的节点嵌入

由 GNN 最后一层获得的隐藏表示得到。在获得节点嵌入后,GNN 采用 READOUT 函数来学习整个图的表示:

, 其中是图的表示。在本研究中,我们使用 sum-pooling作为 READOUT 函数来学习图嵌入:

。
3.1.2 GNN可解释性
尽管GNN显示出了显著的有效性,但它们是缺乏可解释性的黑盒模型,这使得很难理解其预测背后的潜在机制。到目前为止,人们对解释这些预测的兴趣已经激增。基于摄动的方法是目前最广泛采用的方法,它使用不同的掩模生成器来识别关键的子图结构和特征。随后,根据训练良好的GNN上子图的性能对这些掩模生成器进行评估和优化。然而,大多数现有的方法都是事后处理的,需要创建一个单独的解释模型来解释训练有素的GNN。此外,这样的解释通常是不可靠的、不准确的,并可能会误导整个模型决策过程。为了解决这些问题,研究人员提出了内置的可解释模型,它可以直接从模型本身产生解释,而无需进行辅助网络的后训练。例如,ProtGNN与原型学习和GNN结合,以提供固有的可解释性。在本研究中,BrainProtGNN也是一个内置的可解释的GNN,它可以提供跨精神疾病亚型的解释。
3.1.3 精神病学诊断的GNN可解释性
近年来,GNN已被应用于精神病学诊断领域。最近的一项研究引入了BrainGNN,结合ROI感知的图卷积层来精确定位自闭症诊断中的关键感兴趣区域。此外,研究人员建议IBGNN来区分双相情感障碍(BD)患者和健康对照组,使用一个全脑可解释范围来强调疾病特异性的生物标志物。在我们最近的研究中,我们引入了BrainIB,其中我们利用著名的信息瓶颈(IB)原则,以确定精神病学诊断背景中信息最丰富的边缘。然而,目前现有的模型只提供群体水平和个体水平的生物标志物,不能考虑临床异质性,这使得它们在现实临床应用中产生有意义的影响具有挑战性。在本研究中,BPI-GNN可以提供亚型水平的解释,为了解精神疾病固有的生物学和临床异质性提供见解。
3.2 原型学习
原型学习是一种基于案例的推理,通过将新实例与一组被称为原型的学习范例案例进行比较,促进了对新实例的预测。先前的研究,以ProtoPNet为例,利用原型学习和卷积神经网络(CNN)的融合来获取原型部分。在一个特定的类中,并产生直观的图像解释。ProtoPNet由常规CNN

、原型层

和全连接层组成。具体来说,给定一个输入图像I,ProtoPNet使用

提取图像表示

,并为每个类学习𝑘原型向量

。随后,原型层

中的j原型单元

计算j原型pj与Z的所有补丁之间的距离,然后进行反转,得到相似度得分:

其中,𝜖被设置为一个很小的值,例如,1e-4。因此,由每个原型单元生成一个激活图,其中包含反映图像中原型部分强度的相似性得分。每个原型单元生成的激活图随后进行全局最大池化,得到一个单一的相似度得分。最后,将原型层𝑔𝑃产生的𝑘相似度分数用softmax函数发送到全连接层,生成每个类的输出概率。然而,到目前为止,原型学习尚未被探索来解释GNN和大脑网络分析。在本研究中,我们利用原型学习来识别精神疾病的原型(即亚型),这有助于理解精神疾病人群中的临床异质性。
请注意,原型学习的一般思想最近已经扩展到GNN。然而,ProtGNN有一定的局限性,我们的方法也与之不同。首先,我们的BPI-GNN对不同的原型子图模式的独立性进行了约束,以确保严格遵守理论原则。这是ProtGNN中缺少的一个方面,它可能会在原型之间产生类似的子图模式。其次,我们的方法利用了一种新的原型子图的生成过程,消除了对辅助神经网络的需要,从而减少了该过程引起的不确定性。最后,ProtGNN的原型子图生成过程存在过多的训练参数和空间分配问题,使其仅适用于具有几十个节点的小规模图数据集。相比之下,我们的方法可以应用于包含数百个节点的大脑网络数据集。
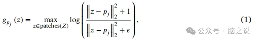
3.3 总相关
在这个模型框架的范围内,确保收集到的子类型海拔解释的可信度和有效性是一个艰巨的挑战。与本研究的总体模型结构相一致,这种复杂性被简化,以确保原型子图模式之间的独立性。在信息论中,最小化一组多个随机变量之间的总相关性(TC)是保证它们独立性的常用方法,在没有任何辅助神经网络的情况下都可以很容易地计算出来。因此,我们被启发考虑使用相关性(TC)来确保原型子图模式之间的独立性。具体来说,给定随机变量𝑍={𝑍1;𝑍2;...;𝑍𝐿},TC的𝐿维分量可以定义为联合分布Pr(𝑍1,𝑍2,...,𝑍𝐿)到∏𝐿𝑖=1 Pr(𝑍𝑖)独立分布的库贝勒散度:

其中𝐻(𝑍𝑖)为变量𝑍𝑖的信息熵,𝐻(𝑍1,𝑍2,……,𝑍𝐿)为变量集{𝑍1;𝑍2;……;𝑍𝐿}的联合熵。
图2描述了从rs-fMRI原始数据构建脑功能图的管道。首先,对静息态fMRI数据进行预处理,然后根据自动解剖标记(AAL)图谱将大脑分割成𝑛感兴趣区域(ROIs)。随后,从预处理后的fMRI数据中计算每个ROI的平均时间序列,并通过计算ROI的平均时间序列之间的皮尔逊相关性,得到功能连接(FC)矩阵。在FC的基础上,我们定义了一个无向图,其中𝐴表示表示图结构的图邻接矩阵,𝑋表示节点特征矩阵。具体来说,𝐴是一个二值化的FC矩阵,其中只有相关性的前20个百分位的绝对值被转换为1,而其余的则被设置为零。对于节点特征𝑋,节点𝑟的𝑋𝑟被定义为,其中𝜌𝑟𝑙为节点𝑟和节点𝑙的皮尔逊相关系数。值得注意的是,在本研究中,只考虑功能连接值作为节点特征,这是大脑网络分析中常见的做法。所有的符号都列出在表1中。

4.1.2 BPI-GNN的总体工作流
图3描述了BPI-GNN的工作流程,它由四个关键组件组成:一个多头图变分自动编码器(GraphVAE),一个原型子图生成器,一个原型层𝑓和一个基本分类器𝜑。我们采用了一个两步训练策略来联合优化生成性能和诊断准确性。

图3. 我们提出的BPI-GNN的总体架构。该模型由四个模块组成:多头GraphVAE、原型子图生成器、原型层和一个基本的分类器𝜑。BPI-GNN的培训程序包括两个阶段。在第一阶段的训练中,给定一个输入图G ={𝐴,𝑋},多头GraphVAE学习潜在因素𝑍=[𝑧{1},𝑧{2},...,𝑧{𝑘}]。另一个线性解码器生成原型子图,并将其输入给图编码器𝜙,得到原型子图嵌入。在第二阶段的训练中,原型层计算原型嵌入和根据原型向量之间的相似性得分。这些相似性得分随后被基本分类器𝜑使用来计算输出概率,从而实现图分类。
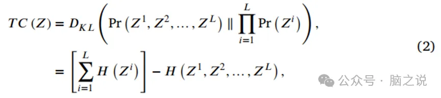
在第一阶段的训练中,BPI-GNN能够学习原型子图的嵌入。具体来说,给定一个输入图, 修改后的GraphVAE负责学习潜在因素𝑍=[𝑧{1},𝑧{2},...,𝑧{𝑘}],其中𝑘代表预先确定的原型数量。利用𝑍,解码器能够重建图特征矩阵𝑋和图邻接矩阵𝐴。然后,另一个线性解码器生成原型子图,并将其输入图编码器𝜙,得到嵌入的原型子图。在第二阶段的训练中,BPI-GNN能够学习原型向量,这可以被理解为不同精神科人群中亚型的潜在表示。在原型层中,网络学习𝑘原型向量。对于每个原型向量,其形状等于嵌入ℎ𝑘的原型子图的维数。随后,原型层计算原型子图嵌入与原型向量之间的相似性得分。对于原型子图嵌入和原型向量,相似度得分定义为:

其中𝜖是一个小值(1e-4),以防止除以零。最后,基本分类器𝜑使用𝑘相似度评分计算输出概率。
4.1.3 第一阶段:学习原型子图的嵌入
给定一个具有𝑛节点的输入图G =(𝐴,𝑋),其中𝐴是邻接矩阵,𝑋是节点特征矩阵,我们采用GraphVAE类架构来学习𝑘解纠缠因子𝑍=[𝑧{1},𝑧{2},...,𝑧{𝑘}]。我们修改后的GraphVAE的图编码器是一个基本的GCN,其中𝑙th层的输出𝑍可以计算为:

其中𝐴为归一化邻接矩阵,𝐴=𝐴+𝐼,𝐼为单位矩阵,𝐷为节点度的对角矩阵,𝜎为s型激活函数。在我们修改后的GraphVAE的解码器中,我们使用单独的头部:一个多层感知器(MLP)来重建𝑋,和一个线性内积解码器来恢复𝐴。具体来说,我们将重建程序表述为:

其中𝐴𝑐是重构邻接矩阵,𝑋𝑐是重构节点特征,𝑍是图编码器最后一层的输出。我们的多头GraphVAE的目标是最小化重构误差,并最大限度地压缩潜在变量𝑍。其目标可表述为:

式中,‖‖𝐹为弗罗比尼乌斯范数,𝑞(𝑍|𝐴,𝑋)为图编码器模型,𝑝(𝑍)为𝑍的各向同性高斯先验分布。
此外,为了确保潜在因素{𝑧{1},𝑧{2},...,𝑧{𝑘}之间的独立性,我们采用总相关(TC)术语:

其中,𝐻表示熵和联合熵。如果所有的潜在向量都是独立的,则TC将为零。
接下来,我们进一步利用另一个线性内积解码器𝜃2和图编码器𝜙来生成原型子图嵌入。图4展示了原型子图生成器的生成过程。具体来说,给定𝑧,我们使用另一个线性内积解码器𝜃2来生成原型子图:

其中𝜎是s型函数。然后将训练好的原型子图编码器输入图𝜙,输出嵌入的原型子图。此外,我们进一步利用一个正则化掩模来鼓励解释的紧凑性的离散性:

因此,第一阶段的总体损失被定义为:

其中,𝜆1和𝜆2是超参数。

图4. 原型子图生成器的生成过程。给定𝑧,我们使用另一个线性解码器𝜃2来生成原型子图注意掩模。然后将训练好的原型子图注意掩码输入图编码器𝜙,输出嵌入的原型子图。
4.1.4 第二阶段:学习原型向量,完成分类任务
在第二阶段的训练中,BPI-GNN可以学习原型向量,这可以被理解为精神病学人群中不同亚型的潜在表现,并为推理过程提供更全面的解释。具体地说,我们计算相应的原型向量和嵌入到原型层中的原型子图之间的相似性得分。确定哪个原型子图与每个原型最相似,优化目标定义为:

其中𝑝𝑘为与原型子图嵌入ℎ𝑘相同维数的𝑘th学习原型向量,𝑠𝑖𝑚(⋅)表示相似度得分。最后,将原型层𝑓产生的𝑘相似度分数发送到基本分类器𝜑,生成每个类的输出概率,其中𝜑是具有softmax函数的全连通层。综上所述,我们定义了第二阶段的优化目标如下:

其中,𝐶𝐸表示交叉熵损失,𝜆3表示超参数。
4.1.5 训练步骤
综上所述,BPI-GNN的训练过程见算法1。我们首先执行GraphVAE和原型子图生成器来学习原型子图嵌入 (10).在第一阶段训练收敛后,表明重构误差低于预定阈值或超过一定数量的训练时期,我们学习原型向量并获得用于分类的预测。接下来是对等式的优化 (12)。

4.2 来自BPI-GNN的亚型分析
除了执行精神病学分类任务,BPI-GNN还识别不同的亚型,即原型。首先,我们通过选择最佳性能设置来确定原型的数量,并从集合{2,3,4}中选择𝑘。随后,根据相似度评分确定每个个体的子类型。具体来说,如果一个个体的原型向量𝑝𝑖和嵌入的原型子图ℎ𝑖之间的相似性得分高于所有其他子类型,我们将该个体分配给第个子类型。为了描述不同亚型的特征,我们使用双样本𝑡检验来调查不同亚型之间的临床概况的差异。我们考虑了𝑝< 0.05与错误发现率(FDR)校正的统计学意义。
4.3 来自BPI-GNN的解释
为了评估BPI-GNN的可解释性,我们进行了额外的分析,以研究原型子图解释不同亚型背后的神经机制的能力。BPI-GNN可以捕获每个学科中重要的原型子图结构。为了比较不同子类型的子图之间的差异,我们计算了平均原型子图,并选择前50条边来生成占主导地位的原型子图。
4.4 临床特征与脑连接之间的关联分析
我们使用非参数斯皮尔曼相关方法进一步研究了亚型分化临床特征与亚型分化脑连接之间的关系。我们的研究结果在𝑝< 0.05的阈值下具有统计学意义,以及多重比较的错误发现率(FDR)校正。
5. 实验
5.1 数据集和数据预处理
在这项研究中,使用了三个精神病学数据集:自闭症脑成像数据交换I (ABIDE),Rest-meta-MDD和日本脑科学促进战略研究计划(SRPBS)。Sider是一个自闭症谱系障碍(ASD)的回顾性多中心神经成像联盟,公开分享了从17个不同的国际中心收集的1000多个恢复状态功能磁共振成像数据。在本研究中,共使用了528例ASD患者和536例典型发育型(TD)患者。Rest-meta-MDD是迄今为止从中国25个队列中收集的最大的重度抑郁症(MDD)静息态fMRI数据库。根据排除标准,采用1604例参与者,其中828例MDD患者和776例健康对照组。SRPBS是一个多障碍MRI数据集,包括在11个地点收集的1410名参与者。在目前的研究中,我们使用了184名参与者,包括92名精神分裂症患者和92名健康对照组。我们在表2中展示了三个精神病学数据集的人口统计学和临床特征。

ABIDE, Rest-meta-MDD和SRPBS之后是统一的标准预处理管道,分别使用统计参数映射(SPM)、静息态fMRI数据处理助手(DPARSF)和图论网络分析(GRETNA)。标准的预处理管道包括多个步骤。丢弃最初的10个卷,并修正切片时间和头部运动。通过将fMRI图像注册到蒙特利尔神经学研究所(MNI)模板中获得的变形参数,用于将静息态fMRI数据标准化到一个公共空间。此外,采用半最大宽度为6 mm的高斯滤波器对函数图像进行平滑处理。随后,将一个范围为0.01-0.08Hz的时间带通滤波器应用于所得到的fMRI图像。最后,消除了头部运动、白质、脑脊液信号和线性趋势的影响。在这里,我们采用Friston-24参数模型来回归出头部运动效应。
经过预处理后,我们使用自动解剖标记(AAL)图谱从所有数据集中提取皮质和皮层下区域的平均时间过程。该图谱共定义了116个区域,包括90个大脑区域和26个小脑区域。估计所有脑区域之间的功能连接(Fisher-z转换皮尔逊相关性),得到116×116对称功能连接矩阵生成脑功能图。
5.2 站点差异和协变量的控制
在生成功能连接矩阵后,我们使用ComBat协调方法来解释功能连接中的站点差异和协变量。这种方法允许我们在保留生物变异的同时消除由位点引入的变异。fMRI数据可以假设来自𝑚完全不同的多位点,共有𝑛参与者。每个功能连接的ComBat模型可以表示如下:

随后,利用经验贝叶斯方法估计了站点效应参数𝛾𝑖和𝛿𝑖。因此,最终的ComBat协调功能连接被定义为:

其中const为估计的平均FC值,𝛾𝑖∗和𝛿𝑖∗表示估计的站点效应参数。
5.3 基线
为了证明BPI-GNN的有效性和优越性,我们在三个精神病学数据集上对11个流行的传统机器学习(ML)和深度学习(DL)模型进行了评估:ABIDE、REST-metaMDD和SRPBS。包括四种传统的精神病学分类器,三个代表性的图形神经网络,以及两个最先进的(SOTA)内置可解释神经网络。我们还包括了两个专门为大脑网络设计的SOTA GNN:BrainGNN(Li等人,2021b)和BrainIB。在这里,我们使用随机数据分割策略(训练/验证/测试集分别为80%、10%和10%的数据)来评估BPI-GNN和基线的性能。
5.4 实验步骤
我们使用PyTorch 1.12.1和PyTorch几何图形2.1.0对BPI-GNN进行了训练和测试。在训练过程中,历元的数量设置为350,辍学率设置为0.5。表3显示了所检查的超参数的范围,并使用了所有超参数的最终规范来获得最终结果。超参数可以通过网格搜索或基于相关工作的推荐设置来设置。对于基线,我们用350个时代来训练每个模型。对于传统的精神学分类器,包括具有线性和RBF核的SVM、RF和LASSO,我们首先使用FC网络在患者组和HC组之间进行双样本𝑡检验,以获得异常的FC连接。然后将这些连接为一个长特征向量,并发送到分类器。对于GIN、GAT和GCN,我们使用相关工作中推荐的超参数来训练模型。对于SIB和BrainIB。对于ProtGNN,超参数𝜆1、𝜆2和𝜆3分别根据推荐的设置设置为0.10、0.05和0.01。

5.5 超参数讨论与融合研究
为了研究原型数量𝑘对性能的影响,我们使用训练集和验证集对𝑘∈{2,3,4}进行了超参数调优。此外,我们还进行了一项融合研究,以评估BPI-GNN中各种成分的潜在贡献。具体来说,我们比较了BPI-GNN的四种变体的分类精度,即原始模型BPI-GNN-NonVAE,、BPI-GNN-NonProt和GNN。值得注意的是,BPI-GNNNonVAE省略了修改后的GraphVAE的解码器和等式的优化。消融研究的结果如图5所示。从图5中可以明显看出,𝑘的值对BPI-GNN的性能有影响。基于最优性能,我们将ABIDE数据集的𝑘值设置为2,REST-meta-MDD数据集设置为2,SRPBS数据集设置为2。在融合研究中,我们观察到BPI-GNN在所有数据集上的性能都优于BPI-GNN-NonProt,这表明识别不同原型的能力有助于提高性能。此外,BPIGNN优于BPI-GNN-NonVAE的性能表明,GraphVAE在该模型中是有效的和至关重要的。

图5. 融合研究和原型编号𝑘对三个精神病学数据集的性能的影响,包括ABIDE、REST-meta-MDD和SRPBS
表4显示了在三个精神病学数据集(即ABIDE、REST-meta-MDD和SRPBS)上的准确性、f1分数和马修相关系数(MCC)的分类性能。每个模型独立运行5次,并报告了指标的平均值和标准差。

大量的实验表明,BPI-GNN在所有数据集上的所有评价指标上都优于所有基线模型,这表明BPI-GNN在脑网络分析方面具有显著的优势。此外,在Rest-meta-MDD数据集上,BPI-GNN的性能明显优于其他方法(两个样本𝑡检验,𝑝< 0.05)。BPI-GNN性能的提高可归因于三个因素。首先,BPI-GNN是一个内置的可解释的深度学习模型,它消除了对特征选择的需要。其次,BPI-GNN利用原型机制来更好地理解精神疾病亚型的潜在特征。最后,BPI-GNN作为一种图神经网络,能够有效地处理复杂脑网络结构中的拓扑信息和非线性信息,使其具有超越传统精神病学分类器的优势。
表5显示了每个亚型的人口统计学和临床数据。在ASD患者中,与亚型2相比,亚型1的ADOS_RRB显著减弱。

图6显示了健康对照组和患者组之间的主要原型子图比较。在这个可视化中,每个节点的颜色代表了一个不同的大脑网络,而每条边的大小反映了它在主导子图中的权重。每个数据集中定义的ROI节点被映射到9个常用的大脑网络上,包括视觉网络(VN)、躯体运动网络(SMN)、背侧注意网络(DAN)、腹侧注意网络(VAN)、边缘网络(LIN)、额顶叶网络(FPN)、默认模式网络(DMN)、小脑(CBL)和皮层下网络(SBN)。

图6. ABIDE数据集上的大脑网络连接。脑神经系统的颜色分别描述为:视觉网络(VN)、躯体运动网络(SMN)、背侧注意网络(DAN)、腹侧注意网络(VAN)、边缘网络(LIN)、额顶叶网络(FPN)、默认模式网络(DMN)、小脑(CBL)和皮层下网络(SBN)。
在两种ASD亚型中,都可以观察到图内的共同(“共享”)大脑连接,包括SMN、SBN、LIN、CBL和VN内的连接,以及DMN和FPN之间的连接。此外,还观察到了亚型特异性模式。具体来说,ASD亚型1在FPN内表现出紧密的相互作用,包括右侧眶额叶和双侧顶叶下回,而这些连接在2亚型中缺失。此外,亚型1的DAN(双侧边缘上)内部和之间的连接小于亚型2。
6.2.2 可解释性在REST-meta-MDD
表6显示了REST-meta-MDD上各亚型的人口统计学和临床数据。MDD患者的HAMD总分在不同亚型之间没有显著差异,这表明分化不是基于疾病的严重程度。

接下来,我们使用双样本𝑡检验进行进一步的分析,以调查亚型之间HAMD各项之间的得分差异(见图7)。我们的结果表明,三种症状指标有显著差异,即自杀、发育迟缓和一般躯体症状。

图7. 抑郁症状的亚型特异性临床特征(HAMD-17)在不同的聚群间表现出显著差异(𝑃< 0.05,双样本𝑡检验,错误发现率校正)。星号表示与不同亚型之间的平均症状严重程度评分有显著性差异(𝑃< 0.05),误差条表示均值的标准误差。∗𝑃< 0.05.
图8显示了REST-meta-MDD数据集中健康对照组和MDD组之间的主要原型子图比较。在两种亚型之间有共同的(“共享的”)大脑连接,涉及VN、FPN SMN、CBL、FPN等内部的连接。1型1的SBN(双侧苍白球之间的连接)的模式明显多于2型,而2型与DAN(双侧顶叶上回之间的连接)的模式更多。

图8. REST-meta-MDD数据集上的亚型特异性大脑网络连接。脑神经系统的颜色分别描述为:视觉网络(VN)、躯体运动网络(SMN)、背侧注意网络(DAN)、腹侧注意网络(VAN)、边缘网络(LIN)、额顶叶网络(FPN)、默认模式网络(DMN)、小脑(CBL)和皮层下网络(SBN)。
6.2.3 可解释性在SRPBS
表7显示了SRPBS数据集上每个亚型的人口统计学和临床数据。总分PANSS在精神分裂症患者的亚型间无显著差异。

此外,我们使用双样本𝑡检验来调查各亚型之间PANSS各项之间的得分差异(见图9)。我们观察到两种显著不同的基因谱,包括躯体关注和内疚感。

图9. 亚型特异性PANSS阳性/阴性症状谱和PANSS基因谱在不同聚类间表现出显著差异(𝑃< 0.05,双样本𝑡检验,错误发现率校正)。红色圆圈表示有显著性差异(𝑃< 0.05)。PANSS,阳性和阴性综合征量表。
图10显示了SRPBS数据集中健康对照组和精神分裂症组之间的主要原型子图比较。我们观察到两种亚型内的大脑连接存在显著差异,这可能归因于该数据集的样本量有限。具体来说,精神分裂症亚型在边缘网络内表现出紧密的相互作用,特别是在右侧内侧眶上额叶。相反,精神分裂症亚型在左脑岛内表现出紧密的相互作用。

图10. SRPBS数据集上的亚类型特异性大脑网络连接。脑神经系统的颜色分别描述为:视觉网络(VN)、躯体运动网络(SMN)、背侧注意网络(DAN)、腹侧注意网络(VAN)、边缘网络(LIN)、额顶叶网络(FPN)、默认模式网络(DMN)、小脑(CBL)和皮层下网络(SBN)。
6.2.4 临床资料和脑网络连接之间的联系
我们在三个精神病学数据集上进一步研究了临床资料和显性原型子图之间的关联。然而,我们只在REST-meta-MDD上观察到MDD亚型1的显著相关,而在ABIDE和SRPBS数据集中没有观察到显著关联。图11显示了MDD亚型1中显性原型亚图的FC与亚型分化的HAMD- 17评分之间的显著相关性。可以看出,延迟与双侧壳核(𝑟= 0.316,𝑝< 0.0001,FDR校正)、双侧苍白球(𝑟= 0.407,𝑝< 0.0001,FDR校正)与双侧丘脑(𝑟= 0.316,𝑝< 0.0001,FDR校正)之间的FC呈正相关。

图11. 显性原型子图的FC与亚型分化的HAMD-17评分之间存在显著相关性。∗∗∗𝑃< 0.0001.
7. 讨论
7.1 模型
在这项研究中,我们开发了一种新的图神经网络结构(BPI-GNN)用于精神疾病诊断和分型。BPI-GNN包括(i) GraphVAE和原型层,自动识别原型表示对应于子类型;(ii)新的原型子图生成器,在不同子类型的大脑中获得信息最丰富的边缘;(iii)新的正则化术语(TC损失),确保不同原型之间的独立性。BPI-GNN在三个精神病数据集(即ABIDE, REST-meta-MDD和SRPBS)上的分类性能方面优于其他机器学习方法,如SVM、LASSO和GNN,表明BPI-GNN的鲁棒性。
BPI-GNN有潜力解决使用GNN诊断精神障碍时再现性差和缺乏可解释性的问题。重复性差的问题主要是由于使用的样本量小,没有考虑到临床的异质性。具体来说,以往的大多数诊断分类器只使用来自单个中心的小样本来训练其模型,导致在部署过程中过拟合和泛化能力较差。尽管在最近的一项研究中使用了大的、多地点的样本量,临床异质性的存在仍然导致仅为62%的准确性。在这项研究中,BPI-GNN使用了三个大型的、多地点的精神病学数据集,并为精神疾病固有的生物学和临床异质性提供了见解。
在可解释性方面,尽管GNN表现出了令人印象深刻的疗效,但它们本质上缺乏作为黑盒模型的可解释性,从而阻碍了它们在无序分析中的效用。为了解决这一问题,有重大努力旨在提高GNN的可解释性及其在精神病学诊断中的应用。然而,大多数现有的方法都是事后处理的,需要创建一个单独的解释模型来解释训练有素的GNN。此外,大多数分类器只能识别诊断疾病的重要节点。我们提出的模型,BPI-GNN是一个内置的可解释的GNN,可以提供边缘解释。值得注意的是,边缘(即功能连接)在精神病学诊断中起着更重要的作用。
此外,本文还具有BPI-GNN能够根据其表现自动识别精神病学亚型的优势。识别精神病亚型的重要性已经被认识到,但很少有人尝试这样做。通常,研究人员使用特征选择方法来获得低维表征或相对较少的特征,然后对这些特征采用无监督的学习方法来识别精神疾病的亚型。然而,该方法面临着两个挑战:(1)如何确保最优的特征选择,以及(2)如何识别子类型的数量。我们使用原型学习的方法可能为解决这些问题提供了一个新的途径。
7.2 我们发现的解释
在ABIDE数据集中,BPI-GNN成功地识别了2个子类型。ASD1亚型(占ASD样本的53.8%)的ADOSRRB评分明显低于2亚型(占ASD样本的46.2%)。RRB通常用于预测ASD的预后,是指一系列以重复、僵化、不变性、不适当、缺乏特定目的为特征的行为和活动。我们的研究通过建立大脑功能特征和长期公认的RRB特征的异质性之间的联系,推进了目前自闭症研究的临床概念化。包括参与认知控制的FPN和参与关注显著事件的DAN在内的亚型之间的生物学差异与RRB相关。这些结果与之前的研究一致,ASD亚型2的动态功能连接可以预测ADOS刻板行为评分,ASD亚型2表现出更高的DAN权重。此外,BPI-GNN可以成功地识别出REST-meta-MDD数据集中的两个亚型。MDD亚型1(MDD样本的55%)与2亚型(MDD样本的45%)HAMD自杀、迟缓、一般躯体评分有显著差异,与抑郁程度、认知缺陷和生理症状相关。此外,MDD亚型1具有SBN模式特征,而MDD亚型1具有DAN模式特征。这一结果与最近的一项研究一致,该研究中MDD亚型1的特征是注意网络内的超连接,而MDD亚型2的特征是SBN内的低连通性低。对于SRPBS数据集,亚型1表现出眶额叶参与情感处理的紧密相互作用,而亚型2表现出左脑岛叶的紧密相互作用。值得注意的是,在精神分裂症中已经观察到脑岛相关功能的改变,包括视觉和听觉情绪信息的处理、疼痛和自我的神经元表征。
7.3 局限
我们的研究有一些需要考虑到的局限性。首先,当我们在第4.4节中讨论超参数的一些变化时,还有许多其他的超参数需要探索,如𝜆1的值、GNN层的数量和不同的读出操作。对这些变化的进一步研究可以提高我们的方法的有效性和稳健性。其次,我们只考虑FC来构造函数图,即使它涉及到神经活动随时间的动态变化。最后,不完整的临床信息可能会潜在地影响临床研究结果。例如,在ASD患者中,1亚型有284例患者,但其中只有120例有可用的ADI-R数据。
8. 结论
在本研究中,我们提出了BPI-GNN,一种基于原型学习的新的GNN框架的精神病学诊断和分型。据我们所知,这是第一个利用原型学习进行精神病学诊断和分型的工作。BPI-GNN在三个具有挑战性的精神病学数据集上优于其他先进的方法,并有效地识别了生物学上有意义的亚型和亚型特异性的大脑网络连接。此外,我们还通过临床和遗传图谱分析验证了我们发现的亚型的合理性。结果突出了这种方法有助于开发特定精神病学队列的生物信息诊断分类和治疗指南的潜力。
参考文献:BPI-GNN: Interpretable brain network-based psychiatric diagnosis and subtyping.
原创声明:本文系作者授权腾讯云开发者社区发表,未经许可,不得转载。
如有侵权,请联系 cloudcommunity@tencent.com 删除。
原创声明:本文系作者授权腾讯云开发者社区发表,未经许可,不得转载。
如有侵权,请联系 cloudcommunity@tencent.com 删除。