分享是一种态度

之前上课的时候曾老师讲过,单细胞数据挖掘有两种思路:1.拿到基因列表,然后单细胞验证。2.单细胞开局。前段时间分享的大部分文献属于第2种单细胞开局,而这篇文献属于第1种。他的基因列表是通过7个bulk RNA数据集共有的差异基因得到的。
文章标题:Early peripheral blood MCEMP1 and HLA-DRA expression predicts COVID-19 prognosis 发表时间:2023-02 发表杂志:EBioMedicine 影响因子:11.1 在线阅读链接:https://www.thelancet.com/journals/ebiom/article/PIIS2352-3964(23)00037-3/fulltext
背景:重症的可靠预后生物标志物可作为重症 COVID-19 复发的早期指标,以及对患者进行抗病毒治疗的分类。
方法:对 7 个公开可用的数据集进行了系统回顾和重新分析,共分析了 140 名重症和 181 名轻度 COVID-19 患者,以确定重症 COVID-19 患者外周血中最一致的差异调控基因。此外,纳入了一个独立队列,是对 COVID-19 患者的血液转录组学的前瞻性和纵向监测,以跟踪这些基因在呼吸功能最低点之前发生时间的表达变化。最后使用来自公开数据集的外周血单核细胞的单细胞 RNA 测序来确定所涉及的免疫细胞亚群。
结果:在 7 个转录组学数据集中,重症 COVID-19 患者外周血中差异调控基因最一致的是 MCEMP1、HLA-DRA 和 ETS1。此外,发现早在呼吸功能最低点前 4 天,MCEMP1 显著升高,HLA-DRA 表达降低,MCEMP1 和 HLA-DRA 的差异表达主要发生在 CD14+ 细胞中。作者开发的在线平台已于 https://kuanrongchan-covid19-severity-app-t7l38g.streamlitapp.com/ 公开提供,供用户查询这些数据集中重度和轻度 COVID-19 患者之间的基因表达差异。
结论:在疾病早期,CD14+ 细胞中 MCEMP1 升高和 HLA-DRA 基因表达降低是重症 COVID-19 的预后。
SARS-CoV-2 于 2020 年作为人类呼吸道病原体出现,导致全球发病率和死亡率居高不下。通过大规模疫苗接种,严重肺部疾病的发病率大大降低。然而,严重的COVID-19病例仍然存在,特别是在老年人和免疫功能低下的高危人群中。此外,先前感染和疫苗接种的免疫力已被证明会减弱。免疫力减弱,以及可能出现的令人担忧的免疫逃逸变异株 (VOC),都可能导致未来再次出现严重的 COVID-19。因此,对可靠的疾病预后生物标志物的需求仍未得到满足,既可以在就诊时对有疾病进展风险的 COVID-19 病例进行分类,也可以用于早期监测严重 COVID-19 的上升趋势。
重度 COVID-19 与 I 型干扰素反应受损有关,随后是过度炎症,其特征是促炎细胞因子和趋化因子水平升高。这伴随着T细胞淋巴细胞减少和T细胞功能的抑制,会损害宿主清除感染细胞的能力。尽管这些警告体征改善了重症 COVID-19 的临床诊断,但其中许多临床参数往往在病程后期出现,因此,它们作为早期生物标志物的敏感性和特异性仍不确定。转录组学分析显示,重症 COVID-19 患者先天免疫和适应性免疫普遍失调,包括明显的中性粒细胞过度激活、具有免疫抑制特征的单核细胞产生以及外周血中 T 细胞转录物显着减少。然而,这些基因表达特征尚未在多个队列中进行系统分析,因此尚不清楚这些基因集中哪些具有更广泛的推广性,以及哪些转录本最适合严重 COVID-19 的早期预后。
作者在数据集的收集这部分是比较认真仔细的,毕竟有好的数据是研究的基础。
首先在PubMed、Web of Science、Scopus和Gene Expression Omnibus(GEO)上使用关键词“covid AND SARS AND transcriptomic∗ AND immune”进行检索。选择对重度和轻度急性 COVID-19 患者进行全血或 PMBC 全转录组分析的研究进行进一步分析。然后进行删选,详细标准见下表。

最后得到下面10个数据集。其中前8个为转录组数据,后两个为单细胞转录组数据。在转录组数据中,前7个用于确定重度与轻度 COVID-19 的特征,最后1个用于研究纵向基因表达动力学。

文中使用多队列分析框架(图 1a),根据倍数变化 >1.3 和 p < 0.05 评估了重度与轻度急性 COVID-19 差异表达的常见基因。在 7 个数据集中,有 6 个数据集中全血或 PBMC 中差异性上调基因最一致的是 MCEMP1,最一致下调基因是 ETS1 和 HLA-DRA(图 1b)。在 7 个数据集中的 5 个数据集中,其他几个基因被鉴定为显着差异表达,例如 S100A12、S100A9 和 CDKN2D 的上调,以及 IL11RA、MARCHF9 和 PEA15 的下调(图 1b)。

在差异调控最高的转录本中,与轻度 COVID-19 患者相比,重症 COVID-19 患者的 MCEMP1 平均上调了 3.62 倍。另一方面,在重症 COVID-19 患者中,ETS1 和 HLA-DRA 分别下调 2.10 倍和 2.28 倍(图 1d 和 e)。

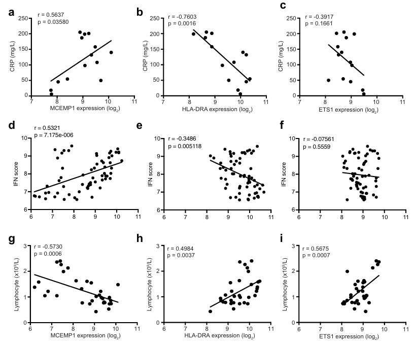
由于重症 COVID-19 的特征是 C 反应蛋白 (CRP) 和淋巴细胞减少增加, 这被用于几种 COVID-19 临床严重程度评分,作者将 MCEMP1、ETS1 和 HLA-DRA 转录本的丰度与 CRP 和淋巴细胞计数相关联。图2a-f散点图显示全血中 MCEMP1、HLA-DRA 和 ETS1 基因表达水平与 a-c、C 反应蛋白 (CRP);d-f、IFN 评分;g-i、淋巴细胞计数相关的相关性。显示了相应的 Pearson 相关性 (r) 和 p 值。具体结果见原文,结果表明 MCEMP1、ETS1 和 HLA-DRA 与严重疾病结局的临床预测因子具有很强的整体一致性。

为了评估 MCEMP1、ETS1 和 HLA-DRA 在 COVID-19 每个阶段的信息性,检查了来自同一研究队列的这些转录本在呼吸功能最低点之前和之后的时间动态。该最低点被定义为患者开始无创或机械通气的那一天。在随后发展为严重 COVID-19 的患者中,在呼吸功能最低点前 4 天可检测到 MCEMP1 表达显着升高和 HLA-DRA 表达下调(图 2j),支持 MCEMP1 和 HLA-DRA 的差异表达与严重疾病结局相关。为了验证这些发现,在症状发作的第一天对 MCEMP1 和 HLA-DRA 表达水平进行了 qPCR。事实上,MCEMP1 和 HLA-DRA 表达水平的组合能够区分随后发展为重度和轻度 COVID-19 的患者(图 2k)。另一方面,ETS1 的下调仅发生在呼吸功能的最低点(图 2j)。这些基因的转录水平在恢复期间恢复到基线,大约在呼吸功能最低点后 7-8 天(图 2j)。

为了评估 MCEMP1 和 HLA-DRA 表达水平在多个队列中区分重症 COVID-19 和轻度 COVID-19 的适用性,作者使用 MCEMP1 和 HLA-DRA 基因表达的组合评估了曲线下面积 (AUC) 在 7 个独立的转录组学研究队列中,图3 为MCEMP1和HLA-DRA在7个转录组数据集中的敏感性。详细内容见原文。结果表明 MCEMP1 和 HLA-DRA 可能是重症 COVID-19 的有用早期预后生物标志物,但对重症流感和登革热的预后可能有限。

为了确定参与 MCEMP1、HLA-DRA 和 ETS1 差异表达的免疫细胞类型,文中利用了外周血单核细胞 (PBMC) (GSE149689) 的单细胞转录组数据,该数据对健康对照 (n = 4) 以及轻度 COVID-19 (n = 4) 和重度 COVID-19 (n = 6) 患者进行。
进行注释后,在健康、 轻度 COVID-19 和重度 COVID-19 患者中包括11种免疫细胞类型:CD14+ 经典和中间单核细胞、CD16+ 细胞、树突状细胞 (DC)、CD4 和 CD8 T 细胞、NK 细胞、B 细胞、血小板、红细胞(图 4a 和 b)。

比较不同免疫细胞亚群中轻度和重度病例的 MCEMP1 和 HLA-DRA 表达,发现 MCEMP1 的高表达和 HLA-DRA 的低表达主要见于 CD14+ 单核细胞(图 4c 和 d,补充图 S3a)。此外,在测试的 7 个 RNAseq 数据集中,有 5 个数据集中上调了 S100A9 和 S100A12 的高表达(图 1b),在 CD14+ 单核细胞中也观察到(补充图 S4),表明具有免疫抑制表型的单核细胞扩增。与仅在 CD14+ 细胞中差异表达的 MCEMP1 不同(图 4c),HLA-DRA 表达降低可以在其他髓样细胞、B 细胞、T 细胞、NK 细胞和血小板中更广泛地检测到,表明重症 COVID-19 患者抗原呈递的整体抑制(图 4d)。有趣的是,ETS1 表达较低仅在增殖细胞中可见,而在其他免疫细胞亚群中未见,这可能解释了与 MCEMP1 和 HLA-DRA 相比时间表达谱的差异(补充图 S5)。

鉴于 MCEMP1 表达在 CD14+ 单核细胞中失调,作者进一步检查了是否存在 MCEMP1 转录表达较高的 CD14+ 亚群。基于前 10 个主要成分,确定了 5 个不同的 CD14+ 亚群(补充图 S6a),其中 MCEMP1+ 细胞在 5 个簇中的 3 个(簇 0、1、3)中检测到更丰度(补充图 S6b)。值得注意的是,表达 MCEMP1 的细胞还表达了 S100 蛋白(S100A8、S100A9、S100A12)的较高转录表达,IFITM1-3 和 HLA-DRB1 表达降低(补充图 S6c),进一步强化了严重的 COVID-19 涉及具有免疫抑制表型的单核细胞的早期扩增。
为了确定在支气管肺泡灌洗液 (BALF) 的免疫细胞中是否观察到 MCEMP1 和 HLA-DRA 的差异表达,分析了 6 名重症和 3 名轻度 COVID-19 受试者的 78,666 个 BALF 单细胞基于先前发表的数据集 (GSE145926)。检测到 11 个不同的簇,包括巨噬细胞、DC 和浆细胞样 DC、CD4 和 CD8 T 细胞、B 细胞、NK 细胞、肥大细胞和上皮细胞 (Epi)。虽然未检测到 MCEMP1 和 ETS1 的差异表达,但在巨噬细胞、DC、肥大细胞、中性粒细胞、Epi 和 NK 细胞中观察到 HLA-DRA 表达降低(补充图 S7)。总体而言,结果表明,在外周血和多种类型的抗原呈递细胞的 BALF 中都可以检测到 HLA-DRA 的降低,这表明免疫抑制和抗原呈递减少可能是参与严重 COVID-19 进展的关键早期事件。
