到年底了,大学生碰上期末周、打工人在赶KPI,没有deadline(ddl)的年底不是真年底……

ddl在我们的日常生活中普遍存在,“ddl是第一生产力”更是人们通过亲身实践得出的“至理名言”。

然鹅,关于ddl行为效应的系统证据却很少见。
不过,运筹学和管理科学领域最大的专业协会之一INFORMS旗下期刊《Management Science》上,就刊登了一项关于ddl的研究。

该研究通过两项实验证实了ddl的有效性,给出了ddl是一种强有力的管理工具的研究解释,并揭示了个体对ddl的反应受到记忆和注意力限制的影响。
有学者评价道:
了解不同协调方法之所以有价值,是因为它们充分考虑到了人类的认知限制,这是一个有趣的课题。 未来,我们与AI的交互设计将着眼于弥补人类心理上的限制。显而易见,当前的聊天界面是不完善的,因为它们错误地假设了人类能像LLM一样处理和记忆相同量级的上下文信息。

网友们也是脑洞大开,“给大模型设置ddl,会不会提高它的性能?”:

这项研究由来自德国IZA Bonn研究所、哥本哈根大学、赫蒂学院、凯泽斯劳滕大学的研究人员共同完成。
他们在一家大型牙科诊所进行了两项实验,目标人群是那些需要做预防性检查的患者。选择这个场景做实验,主要是考虑到:
按医嘱,患者应定期主动联系牙医,预约检查(检查频率相对较低),也就是人们需要主动完成任务,但没有明确的执行日期。这个设置就特别适合探讨ddl、任务表现和记忆限制之间的相互作用。

具体来说,第一个实验时间跨度为2011-2013年。
牙科诊所的检查预约通知系统会按照患者的建议检查时间间隔,向患者发送一张明信片式的提醒通知,提醒他们预约下一次的常规检查。

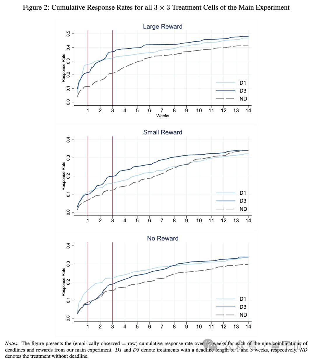
在这个基础上,研究人员在提醒通知中加入了ddl,对应三个治疗组:D1(1周ddl)、D3(3周ddl)、ND(无ddl)。在每个治疗组中还设置了3种奖励水平:大奖励(免费专业牙齿清洁)、小奖励(牙护套装)、无明确奖励。
这样就构成了3种ddl×3种奖励水平的9种组合。

被试共有1175名患者,来自1015个家庭,共产生了2661次的治疗。研究人员在2011-2013年时间段内分43批次随机分配患者进入不同治疗组。
分析结果变量主要是患者首次联系预约的日期、累积响应率、在ddl内的响应率、每日风险率(Hazard Rate)。
在2013年的第二季度、第三季度,研究人员在同一环境下设置了第二次实验,主要是为了探究关键发现在更长的ddl下是否稳定。
作为对照,除了与主实验中的D1、D3和ND相对应的处理,第二次实验还包括了一个为期6周(D6)、10周(D10)和截止到12月31日的“年终”(EoY)ddl处理。奖励是价值10欧元的牙护套装。

其他设计和分析流程与第一个实验类似。
最终研究人员对实验结果进行了分析,分析过程有点复杂,感兴趣的家人们可以查看完整论文,“省流版”如下。



也就是ddl较长,人们有可能遗忘之前要完成的任务,导致风险率相对较低。




沃顿商学院教授Ethan Mollick扒出并分享了这项研究后,得到不少网友关注。

有网友表示,“这和帕金森定律相呼应”(工作会膨胀以填满用于完成该工作的时间):
较短的ddl增加了紧迫感,但也更安心,因为知道在ddl来临之前仍有时间纠正错误或补救问题。

从研究出发,有网友还对ddl对心理的长期影响以及工作质量的影响感兴趣:
ddl本质上仅是一个时间框架,它设定了完成任务时可进行的分析的范围和深度。然而,人们常常将面对ddl的压力视为是一种惩罚。

此外,也有网友吐槽ddl:
你确定这不是因为囚犯习惯了牢笼铁栅栏吗?没有ddl的情况下,我工作得更好。

参考链接: [1]https://x.com/emollick/status/1743464038716027107?s=20 [2]https://pubsonline.informs.org/doi/abs/10.1287/mnsc.2021.4227
— 完 —
点这里👇关注我,记得标星哦~
一键三连「分享」、「点赞」和「在看」
科技前沿进展日日相见 ~