给定一个二叉搜索树的根节点 root ,和一个整数 k ,请你设计一个算法查找其中第 k 个最小元素(从 1 开始计数)。
示例 1:

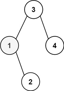
输入:root = [3,1,4,null,2], k = 1
输出:1示例 2:

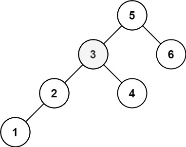
输入:root = [5,3,6,2,4,null,null,1], k = 3
输出:3解题思路: 在二叉搜索树中,任意子节点都满足“左子节点<根节点<右子节点”的规则。因此二叉搜索树具有一个重要性质:二叉搜索树的中序遍历为递增序列。
也就是说,本题可被转化为求中序遍历的第k个节点。
为求第k个节点,需要实现以下三项工作:
递归遍历时计数,统计当前节点的序号。 递归到第k个节点时,应记录结果res。 记录结果后,后续的遍历即失去意义,应提前返回。 代码: 题目指出:

(二叉搜索树节点个数);因此无需考虑k > N的情况。 若考虑,可以在中序遍历完成后判断k>0是否成立,若成立则说明k > N。
class Solution {
public:
int kthSmallest(TreeNode* root, int k) {
this->k = k;
dfs(root);
return res;
}
private:
int res, k;
void dfs(TreeNode* root) {
if (root == nullptr) return;
dfs(root->left);
if (k == 0) return;
if (--k == 0) res = root->val;
dfs(root->right);
}
};复杂度分析: 时间复杂度 O(N) :
当树退化为链表,即全部为左子节点时,无论 kkk 的值大小,递归深度都为 N,使用 O(N) 时间。 空间复杂度 O(N) :
当树退化为链表时,系统使用O(N)大小的栈空间。