

🤵♂️ 个人主页: @计算机魔术师
👨💻 作者简介:CSDN内容合伙人,全栈领域优质创作者。
该文章收录专栏 ✨--- 机器学习 ---✨
@toc
$logistic$(数理逻辑)回归算法(预测离散值 $y$ 的 非常常用的学习算法
假设有如下的八个点($y=1 或 0)$,我们需要建立一个模型得到准确的判断,那么应该如何实现呢
上一篇文章: 【机器学习】浅谈正规方程法&梯度下降

假设我们再增加一个数据点,如下图右方,按照如上算法对应的拟合直线$h\theta(x)$则如下蓝色直线,此时得到错误的预测 (对于结果为1也小于$x{0.5}$)

所以综上所诉,用线性回归来用于分类问题通常不是一个好主意,并且线性回归的值会远远偏离0或1,这显示不太合理。
所以梯度下降算法中引出 logistic regression 算法
我们希望能把 $h_\theta(x) = \theta^T*x$ 结果在 0 ~ 1 之间,
这里引入 $sigmoid$ 函数 (也叫做 $logistic$ 函数) —— $g(x) = \frac{1}{1 + e ^{-x}}$
$sigmoid$函数图像是一个区间在 0 ~ 1的S型函数,$x \Rightarrow\infty$则$y\Rightarrow1$,$x \Rightarrow-\infty$则$y\Rightarrow0$

那现在我们所要做的便是需要求得参数$\theta$ 拟合模型
如下图,假设肿瘤案例,如下$x$为一个病人 同样的用列向量表示$x$的参数,那么参数一tumorSize便是肿瘤的大小,那么我们可以假设输出结果为 0.7 ,意思就是医生会告诉这个病人很不幸,会有很大(70%)的概率得到肿瘤。

那么在$y$只有 0 和 1 的情况下,有如下公式 (二者为对立事件,符合全概率公式)
概率结果只在0 ~ 1中
即在 $z<0$(即 $\theta^T_x$)中 $g(z)$< 0.5, 此时预测为0,在 $z>0$(即 $\theta^T_x$) 时,$g(z)>0$ 预测值为1


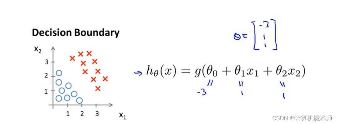
我们假设他的各个$\theta$ 参数向量参数为-3,1,1
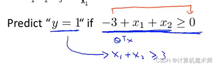
此时如果满足 $g(z)$> 0.5 , 也就是横坐标 $z$(这里的 $z$ 是对应线性方程) 大于零,预测 y 为 1 条件则如下:

化简为条件 $x_1 + x_2 >=3$ , 这个条件所对应的几何意义:
即一条切割线的右侧,此时$sigomid函数的z坐标>0$ , y值 大于0.5

此时该切割线分割除了两个区域,分别是 $y=0 与 y=1$的 情况,我们把这条边界,称为决策边界,这些都是关于假设函数的属性,决定于其参数,与数据集属性无关

有数据集如下:

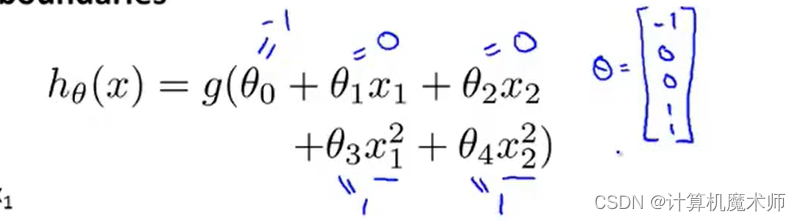
我们假设函数为多项式高阶函数,并对其参数假设赋值如下。

那我们的预测y=1时,$sigomid$横坐标$z$满足条件为

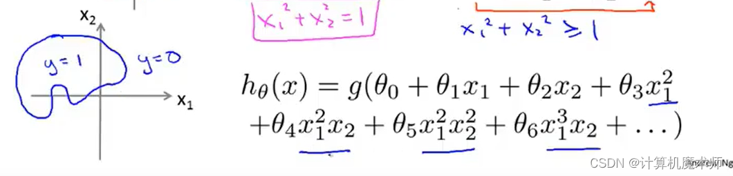
可以得到其决策边界decision boundory —— $x_1^2+x_2^2 =1$

我们给定如数据集

有$m$个样本,同样将每一个$x$用 $n+1$维向量表示(向量每个元素即特征,其中$x0为1$ ) 分类标签$y$只有 0,1结果
在往篇文章中我们线性回归的均方差代价函数可以变化如下:

简化函数,我们省略上标

因为 $sigomid$ 是复杂的非线性函数,如果直接以函数作为代价函数,那么所求模型对应代价函数为非凹函数,会有非常多的局部最优,如下图

我们不能保证其可以下降到函数最优
我们往往希望找到如下的凹型代价函数,以可以找到参数最优。

故我们需要找到另外的代价函数保证我们可以找到全局最小值

对该代价函数,我们可以画出当$y=1$时的图像。(由于 $sigomid$ 函数值域在0~1,对应代价函数横坐标为0 ~1)

为了方便理解我们可以画出,对数函数的图像 $log(z)$ ( $z = h_\theta(x))$ )

显然当 $y=1$ 时 这个代价函数满足我们的要求

对应 $y=0$的情况下:

同样的符合代价函数性质

至此,我们定义了关于单变量数据样本的分类代价函数,我们所选择的代价函数可以为我们解决代价函数为非凹函数的问题以及求解参数最优,接下来我们使用梯度下降算法来拟合 $logistic$ 算法
为了避免让代价函数分为 $y = 1,y= 0$两种情况 ,我们要找一个方法来把这两个式子合并成一个等式,以便更简单写出代价函数,并推导出梯度下降。
公式如下图蓝色字体公式:

由于 y 只有两个情况 0,1 ,利用该性质 当y = 1 时,y=0情况的多项式消去,y = 0 时同理,这样就成功表达了两种不同情况的函数

为不同模型已知数据寻找参数的方法,即选取概率最大的参数)
最大似然函数参考文章
同样,我们为了求最小化代价函数以拟合参数$\theta$,使用梯度下降



我们可以惊奇的发现以上公式与线性回归时所用来梯度下降的方程一样
那么线性回归和**logistic**回归是同一种算法吗?
线性回归和logistic在梯度下降更新的函数区别在于:$h_\theta(x^i)$
虽然在梯度下降算法看起来规则相同,但假设的定义发生了变化,所以梯度下降和logistic回归是完全不一样的算法
关于向量化,可以参考文章 【机器学习】向量化计算 -- 机器学习路上必经路

同样的,在对于线性回归的梯度下降中,我们使用到了特征缩放数据标准化,同样的,这对于$logistic$ 回归算法同样适用。
数据标准化可参考文章: 【机器学习】梯度下降之数据标准化
高级优化算法,与梯度下降相比能够大大提高 $logistic$ 回归速度,也使得算法更加适合大型数据集机器学习问题。
除了使用梯度下降算法,还有诸多如下算法

优点如下
缺点
在实际解决问题中,我们很少通过自己编写代码求平方根或者求逆矩阵,我们往往都是使用别人写的好的数据科学库,如numpy
有如下例子(求两个参数)

我们可以通过梯度下降来求得参数,如下求偏导:

octave代码实现如下;

这是一个简单的二次代价函数,现在我们如何将其用在logistic回归算法中呢?
在logistic回归中,我们使用如下的$\theta$参数向量 (使用参数向量化)

所以在实现这些高级算法,其实是使用不同的高级库函数,虽然这些算法在调试过程中,更加麻烦,但是其速度远远大于梯度下降,所以面对机器学习问题中,往往使用这些算法。
例如将邮件分为亲人,朋友,同事。例如将天气分类,下雨,晴天等、我们可以将这些用数字0,1,2表达,以上这些都是多类别分类
与二分类图像不同(右图)

首先,我们将该数据集划分为三类
我们要做的就是将这数据集转换为三个独立的二元分类问题, 我们将创建一个新的”伪“训练集,其中第二类第三类为负类,第一类为正类(如下图右侧)

并拟合一个分类器$h_\theta^1(x)$,接下来我们来实现一个标准的逻辑回归分类器,通过训练,我们可以得到一个决策边界

伪**数据集,以及对应的拟合分类器,进行一个标准的逻辑回归分类器,得到对应边界

$h_\theta^i(x) = P(y=i|x;\theta) (i=1,2,3)$
每个分类器都对应与之的情况训练,y = 1, 2, 3 的情况

我们训练了逻辑回归分类器 $h_\theta^i(x) = P(y=i|x;\theta) (i=1,2,3)$,用于预测 $y= i$ 的概率,为了做出预测,我们向分类器输入一个$x$,期望获得预测,我们需要在这三个回归分类器中运行输入$x$,选出结果中概率最大的一个(最可信)的那个分类器,就是我们要的类别。
》 总结一下:
用的算法是线性函数,但是通过sigmoid 变换到0 ~ 1概率形式,以满足对应的分类任务,通过概率与0,1之间的残差,即误差,得到损失函数这一目标,再通过梯度下降算法进行调整参数(也可以用其他的优化算法) 总而言之,就是逻辑回归模型假设特征与目标变量之间存在线性关系,利用这个线性关系来分类(这个逻辑回归是因为是线性函数,一个线性关系)
我正在参与2023腾讯技术创作特训营第二期有奖征文,瓜分万元奖池和键盘手表
原创声明:本文系作者授权腾讯云开发者社区发表,未经许可,不得转载。
如有侵权,请联系 cloudcommunity@tencent.com 删除。
原创声明:本文系作者授权腾讯云开发者社区发表,未经许可,不得转载。
如有侵权,请联系 cloudcommunity@tencent.com 删除。