首页
学习
活动
专区
圈层
工具
发布
社区首页 >专栏 >PD-L1抑制剂-TNBC-续集

PD-L1抑制剂-TNBC-续集

作者头像
生信菜鸟团
发布2023-09-19 15:47:32
发布2023-09-19 15:47:32
4141
举报
文章被收录于专栏:生信菜鸟团生信菜鸟团

最近处理了几个免疫治疗前后的数据集,这种数据集还是比较少,看起来还是黑色素瘤和非小细胞肺癌相关的数据集比较多,还浅看了一下PD-1/PD-L1±CTLA-4的疗效。

还是继续研究上次的TNBC数据集吧,看看复旦分型?

18例患者有肿瘤活检样本,一半是atezo+paclitaxel组,一半是paclitaxel化疗组,2例患者在疾病进展后有肿瘤样本。Responder(R;n=9,包括CR/PR样本)或Non-responder(NR;n = 12,包括SD/PD样本),在联合治疗组获得了4例PR和7例SD,而在化疗组获得了5例PR,3例SD和2例PD, 1例not available。 这么看来,同样的11例患者,化疗组疗效更好啊,也不论PD-L1的表达。不过联合治疗组DCR 100%了

首先去附件下载临床信息文件,信息非常齐全,我想要的就是疗效信息和治疗分组。 当然,白嫖这里的细胞分群 这个表格命名为meta

这个表格命名为meta2,需要的是PD-L1信息,当然TILs也可以看一看

代码语言:javascript
复制
rm(list=ls())
options(stringsAsFactors = F)
library(Seurat)
library(ggplot2)
library(clustree)
library(cowplot)
library(dplyr)
getwd()
setwd('3-cell/')
sce.all=readRDS( "sce.all_celltype.rds")
sce.all

phe = sce.all@meta.data

table(phe$treat)
table(phe$orig.ident)
table(phe$patient)
table(phe$type)

colnames(phe)


##看看tumor里的,排除blood
##只留下给药和进展后的样本
sce5 = sce.all[, sce.all$treat != c( 'Pre' )]
sce6 = sce5[, sce5$type == c( 't' )]
table(sce6$celltype)
phe_sce6 = sce6@meta.data


library("readxl")
meta<- read_excel("../meta.xlsx")
meta2<- read_excel("../meta2.xlsx")
##可以看到总共22位患者,11位是atezo+paclitaxel,11位是paclitaxel
#其中联合治疗组有5位是PD-L1+,atezo应该使用IC≥1%来划定的cutoff,其中两位是SD,3位是PR
meta2 = meta2[-1,]

meta_tumor = meta[meta$`Cell barcode` %in% rownames(phe_sce6),]
table(meta_tumor$Treatment)
table(meta_tumor$Efficacy)
table(meta_tumor$Group)

p = identical(meta_tumor$`Cell barcode`,rownames(phe_sce6));p
if(!p) meta_tumor = meta_tumor[match(rownames(phe_sce6),meta_tumor$`Cell barcode`),]
table(meta_tumor$Cluster)
table(meta_tumor$`Major celltype`)
table(phe_sce6$celltype)
colnames(meta_tumor)
table(meta_tumor$Treatment)
table(meta_tumor$Group)
sce6@meta.data = meta_tumor

可以看到,原来做的复现分群和原文的分群还是有些许差异的

代码语言:javascript
复制
rm(list=ls())
options(stringsAsFactors = F)
library(Seurat)
library(ggplot2)
library(clustree)
library(cowplot)
library(dplyr)
getwd()
setwd('3-cell/')
sce.all=readRDS( "sce_meta.rds")
sce.all
sce = sce.all
table(Idents(sce))
table(sce$Patient)


head(sce@meta.data)
phe = sce@meta.data

sce@meta.data = meta_tumor
colnames(phe)
p1=DimPlot(sce,reduction = "umap",label=T,group.by = 'Patient')


mycolors <-c( '#B53E2B', '#53A85F', '#F1BB72','#D6E7A3', '#F3B1A0', 
                      '#E95C59', '#E59CC4', '#AB3282',  '#BD956A', 
                      '#9FA3A8', '#E0D4CA',  '#C5DEBA', '#F7F398',
                      '#C1E6F3', '#6778AE', '#91D0BE', 
                      '#712820', '#DCC1DD', '#CCE0F5',  '#CCC9E6', '#625D9E', '#68A180', '#3A6963',
                      '#968175')
library(harmony)
p2=DimPlot(sce,reduction = "umap",label=T ,group.by = "Efficacy",cols = mycolors)  
p2

colnames(phe)
#table(phe$treat)
table(phe$patient)
table(phe$Efficacy)
#table(phe$type)
#table(phe$Sample)
#table(phe$Patient)
#table(phe$Origin)
table(phe$Tissue)
table(phe$Group)
table(phe$Treatment)
table(phe$`Major celltype`)
table(phe$Cluster)
p3=DimPlot(sce,reduction = "umap",label=T ,group.by = "Tissue",cols = mycolors)  
p3


p4=DimPlot(sce,reduction = "umap",label=T ,group.by = "Group",cols = mycolors)  
p4


p5=DimPlot(sce,reduction = "umap",label=T ,group.by = "Treatment",cols = mycolors)  
p5

phe = sce@meta.data
colnames(phe)
colnames(phe)[34] = "Major_celltype"
sce@meta.data = phe

p6=DimPlot(sce,reduction = "umap",label=T ,group.by = "Major_celltype",cols = mycolors,label.box = T)  
p6


library(patchwork)
(p1+p2+p3)/(p4+p5+p6)

看起来019这个患者很奇特(右下角这一群细胞),这个患者是PR

单独看一下019这个患者的细胞亚群

如果按照PR和non-PR(PD+SD)来区分的话,PR中有41246个细胞,non-PR中有34820个细胞。乍一看,PR中好像每种细胞类型都多一些?

用比例图看一下

代码语言:javascript
复制
##堆积柱状图
library(tidyr)
library(reshape2)

colnames(phe)
tb=table(phe$Major_celltype,
         phe$Efficacy_PR)
head(tb)
library (gplots) 
balloonplot(tb)
bar_data <- as.data.frame(tb)

bar_per <- bar_data %>% 
  group_by(Var1) %>%
  mutate(sum(Freq)) %>%
  mutate(percent = Freq / `sum(Freq)`)
head(bar_per) 
col =c("#3176B7","#F78000","#3FA116","#CE2820","#9265C1",
                "#885649","#DD76C5","#7F7F7F","#BBBE00","#41BED1")

library(ggthemes)
g1 = ggplot(bar_per, aes(x = percent, y = Var1)) +
  geom_bar(aes(fill = Var2) , stat = "identity") + 
  theme(axis.ticks = element_line(linetype = "blank"),
        legend.position = "top",
        panel.grid.minor = element_line(colour = NA,linetype = "blank"), 
        panel.background = element_rect(fill = NA),
        plot.background = element_rect(colour = NA)) +
  labs(y = "cell type", fill = NULL)+labs(x = 'Fraction of cells')+
  scale_fill_manual(values=col)+
  labs(title = " ")+
  theme_tufte()+
  theme(plot.title = element_text(size=12,hjust=0.5))


###2
##堆积柱状图
library(tidyr)
library(reshape2)

colnames(phe)
tb=table(phe$Major_celltype,
         phe$patient)
head(tb)
library (gplots) 
balloonplot(tb)
bar_data <- as.data.frame(tb)

bar_per <- bar_data %>% 
  group_by(Var1) %>%
  mutate(sum(Freq)) %>%
  mutate(percent = Freq / `sum(Freq)`)
head(bar_per) 
#write.csv(bar_per,file = "celltype_by_group_percent.csv")
col =c("#3176B7","#F78000","#3FA116","#CE2820","#9265C1",
                "#885649","#DD76C5","#7F7F7F","#BBBE00","#41BED1")

#使用colorRampPalette()扩展R包配色方案中的颜色
col4<-colorRampPalette(col)(14)
library(ggsci)
col5<-colorRampPalette((pal_npg("nrc")(9)))(14)


library(ggthemes)
g2 = ggplot(bar_per, aes(x = percent, y = Var1)) +
  geom_bar(aes(fill = Var2) , stat = "identity") + 
  theme(axis.ticks = element_line(linetype = "blank"),
        legend.position = "top",
        panel.grid.minor = element_line(colour = NA,linetype = "blank"), 
        panel.background = element_rect(fill = NA),
        plot.background = element_rect(colour = NA)) +
  labs(y = "cell type", fill = NULL)+labs(x = 'Fraction of cells')+
  scale_fill_manual(values=col5)+
  labs(title = " ")+
  theme_tufte()+
  theme(plot.title = element_text(size=12,hjust=0.5))

library(patchwork)
g1+g2

PR的患者中T细胞竟然比non-PR患者中少很多? 右边深蓝色的P013患者髓系和innate lymphoid cells (ILCs)占比很多,这位患者也是PR,使用chemo治疗的。 猜:联合治疗和单独chemo治疗后,免疫微环境中细胞亚群变化的差异,导致不同的机制PR。比如单看atezo+chemo治疗后的P019这位患者,可能就得从B细胞入手?

随后我去翻了一下原文,应该能小小的印证猜想

复旦分型在这里的表达情况 不过这应该是蛋白层面的,我们浅看一下

代码语言:javascript
复制
cell_marker <- c("CD8A","AR","DCLK1","FOXC1")
FeaturePlot(sce,features = cell_marker,cols = c("lightgrey" ,"#DE1F1F"),ncol=2)

也看看联合其他潜在靶点,可能的情况咋样…

代码语言:javascript
复制
#CD39和CD73
cell_marker <- c("ENTPD1","NT5E")
FeaturePlot(sce,features = cell_marker,cols = c("lightgrey" ,"#DE1F1F"),ncol=2)
代码语言:javascript
复制
#"CTLA4","TIGHT","TIM3"('HAVCR2'),"LAG3",'PD1'
cell_marker <- c("CTLA4","PDCD1","HAVCR2","LAG3")
FeaturePlot(sce,features = cell_marker,cols = c("lightgrey" ,"#DE1F1F"),ncol=2)
代码语言:javascript
复制
cell_marker <- c("TIGIT",'PDCD1','LILRB1','BTLA','CD47','VTCN1','CD276')
FeaturePlot(sce,features = cell_marker,cols = c("lightgrey" ,"#DE1F1F"),ncol=4)

再来看看这个图,髓系和B,CD39,CD73和TIM3

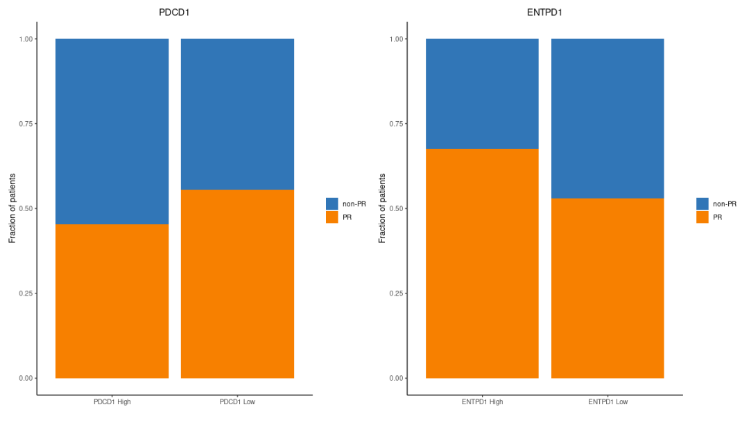
接下来是第二阶段,基因与疗效的相关性 (临床信息中只有联合治疗组PD-L1的蛋白表达信息,11人,汇总如下) 那其实PD-L1阳性也不一定拉的开差距,PD-L1的IC评分….咦。

代码语言:javascript
复制
exprSet <- sce@assays[["RNA"]]@data  
exprSet = as.data.frame(exprSet)
#exprSet<-as.data.frame(t(exprSet)) #转置

##好像没啥意义啊
a = exprSet[str_detect(rownames(exprSet),'ENTPD1'),]
rownames(a)

b = as.data.frame(t(a)) 
p = identical(rownames(b),rownames(phe));p


phe$ENTPD1 = b$ENTPD1
phe$ENTPD1_group <- ifelse(phe$ENTPD1 > median(phe$ENTPD1) ,"ENTPD1 High","ENTPD1 Low")

table(phe$ENTPD1_group)

clinical=phe
colnames(clinical)

##堆积柱状图
library(tidyr)
library(reshape2)

colnames(clinical)
tb=table(clinical$ENTPD1_group,
         clinical$Efficacy_PR)
head(tb)
library (gplots) 
balloonplot(tb)
bar_data <- as.data.frame(tb)

bar_per <- bar_data %>% 
  group_by(Var1) %>%
  mutate(sum(Freq)) %>%
  mutate(percent = Freq / `sum(Freq)`)
head(bar_per) 
#write.csv(bar_per,file = "celltype_by_group_percent.csv")
col =c("#3176B7","#F78000","#3FA116","#CE2820","#9265C1",
                "#885649","#DD76C5","#7F7F7F","#BBBE00","#41BED1")

p2 = ggplot(bar_per, aes(x = percent, y = Var1)) +
  geom_bar(aes(fill = Var2) , stat = "identity") + coord_flip() +
  theme(axis.ticks = element_line(linetype = "blank"),
        legend.position = "top",
        panel.grid.minor = element_line(colour = NA,linetype = "blank"), 
        panel.background = element_rect(fill = NA),
        plot.background = element_rect(colour = NA)) +
  labs(y = " ", fill = NULL)+labs(x = 'Fraction of patients')+
  scale_fill_manual(values=col)+
  labs(title = "ENTPD1")+
  theme_classic()+
  theme(plot.title = element_text(size=12,hjust=0.5))
p2

p1+p2

免疫细胞上表达的ENTPD1在PR的患者中挺高?不知道是否有实际意义。 去原文找了下思路

之前是我思维固化之前想岔了🤨,一直拿治疗后的数据在处理。其实应该看治疗前和治疗后的变化。就算是找有影响的marker,也应该是基线期的状态。 那咱们重新开始。刚开始处理数据的时候就不要删掉pre,然后又8G的数据了

代码语言:javascript
复制
##懒得写循环
#后果就是复制粘贴复制粘贴,再多来几个细胞亚群就不能懒了
#没有懒得写注释已经挺好了
#可能因为我是网上e人,现实i人
library(ggsci)
col5<-colorRampPalette((pal_npg("nrc")(9)))(14)
mycolors <-c( '#B53E2B', '#53A85F', '#F1BB72','#D6E7A3', '#F3B1A0', 
                        '#E59CC4', '#AB3282',  '#BD956A', 
                       '#9FA3A8', '#E0D4CA',  '#F7F398',
                       '#C1E6F3', '#6778AE', '#91D0BE', 
                        '#DCC1DD',  '#625D9E', '#68A180', '#3A6963'
                       )
table(sce$Major_celltype)
sce_T = sce[, sce$Major_celltype == c( 'T cell' )]
DimPlot(sce_T, reduction = "umap", group.by = "Cluster",label = F,raster=FALSE,cols = mycolors,split.by = 'Group')
代码语言:javascript
复制
g = function(sce){##堆积柱状图
  library(tidyr)
  library(reshape2)
  phe = sce@meta.data
  colnames(phe)
  tb=table(phe$Group,
           phe$Cluster)
  head(tb)
  library (gplots) 
  balloonplot(tb)
  bar_data <- as.data.frame(tb)

  bar_per <- bar_data %>% 
    group_by(Var1) %>%
    mutate(sum(Freq)) %>%
    mutate(percent = Freq / `sum(Freq)`)
  head(bar_per) 

  library(ggthemes)
  g1 = ggplot(bar_per, aes(x = percent, y = Var1)) +
    geom_bar(aes(fill = Var2) , stat = "identity") + 
    theme(axis.ticks = element_line(linetype = "blank"),
          legend.position = "top",
          panel.grid.minor = element_line(colour = NA,linetype = "blank"), 
          panel.background = element_rect(fill = NA),
          plot.background = element_rect(colour = NA)) +
    labs(y = "cell type", fill = NULL)+labs(x = 'Fraction of cells')+
    scale_fill_manual(values=mycolors)+
    labs(title = " ")+
    theme_tufte()+
    theme(plot.title = element_text(size=12,hjust=0.5))
  g1 + coord_flip()

}


g(sce_T)

治疗后相比于治疗前CD8-CXCL13变少,CD8Tem-GZMK变多 那又得分免疫联合治疗组和化疗组的情况…

代码语言:javascript
复制
table(sce$Treatment)
sce_T_com = sce_T[, sce_T$Treatment == c( 'Anti-PD-L1+Chemo' )]
g(sce_T_com)

看起来在联合治疗组,并没有太大这个趋势啊…

于是我们再来看看根据R和NR分组之后

代码语言:javascript
复制
phe_T_com = sce_T_com@meta.data
table(phe_T_com$Group)
table(phe_T_com$Efficacy_PR)
phe_T_com = phe_T_com[phe_T_com$Group != 'Progression',]

phe_T_com$outcom = NA
phe_T_com$outcom <- with(phe_T_com, ifelse(Group == "Pre-treatment" & Efficacy_PR == "PR", "pre_R",
                                    ifelse(Group == "Pre-treatment" & Efficacy_PR == "non-PR", "pre_NR",
                                           ifelse(Group == "Post-treatment" & Efficacy_PR == "non-PR", "post_NR","post_R"))))

table(phe_T_com$outcom)
table(phe_T_com$Cluster)
phe_T_com$CD8CXCL13fraction = phe_T_com$ t_CD8-CXCL13
colnames(phe_T_com)
table(phe_T_com$patient)
library(dplyr)
result <- phe_T_com %>%
  group_by(patient, outcom) %>%
  summarize(B_percentage = mean(Cluster == "t_CD8-CXCL13")) %>%
  ungroup()
代码语言:javascript
复制
col = c("#508E42", "#DF5E38","#7B7DC4",'yellow')

P_T <- ggplot(result,aes(x=outcom,y=percentage,fill=patient)) +
  geom_boxplot(size=0.5,fill="white",outlier.fill="white",outlier.color="white",color=col) +
  geom_jitter(aes(fill=outcom),width =0.2,shape = 21,size=2) +
  scale_fill_manual(values = col)+
  theme_bw() +
  theme(panel.grid = element_blank(), panel.background = element_blank(),
        axis.line = element_line(color = 'black')) +
  ylab("Fraction") +xlab("CD8-CXCL13")+
  theme(legend.position = "none",
        axis.text.x = element_text(colour = "black",angle=45,  hjust = 1, family = "Times", size = 16),
        axis.text.y = element_text(family = "Times", size = 14, face = "plain"),
        axis.title.y = element_text(family = "Times", size = 16, face = "plain"),
        axis.title.x = element_text(family = "Times", size = 16, face = "plain"),
        plot.title = element_text(family = "Times", size = 17, face = "bold", hjust = 0.5),
        panel.grid.major = element_blank(),
        panel.grid.minor = element_blank(),
        panel.border = element_blank())

P_T

在联合治疗组,治疗后R的患者相较于治疗前CD8-CXCL13增多,且有显著性。但是前面看比例图的时候好像并不是很明显…这里是根据患者分组 治疗后R的患者比NR的患者CD8-CXCL13增多。

B细胞亚群也是一样 这个图大概看一下整体的情况,

代码语言:javascript
复制
sce_B = sce[, sce$Major_celltype == c( 'B cell' )]
DimPlot(sce_B, reduction = "umap", group.by = "Cluster",label = T,raster=FALSE,cols = col4,split.by = 'Group')

再看看比例图

代码语言:javascript
复制
g(sce_B)

由于我是漫无目的探索,这个数据集就先这样了,下次想起什么新的东西,再翻出来探索。

本文参与 腾讯云自媒体同步曝光计划,分享自微信公众号。
原始发表:2023-09-17 21:51,如有侵权请联系 cloudcommunity@tencent.com 删除

本文分享自 生信菜鸟团 微信公众号,前往查看

如有侵权,请联系 cloudcommunity@tencent.com 删除。

本文参与 腾讯云自媒体同步曝光计划  ,欢迎热爱写作的你一起参与!

评论
登录后参与评论
0 条评论
热度
最新
推荐阅读
领券
问题归档专栏文章快讯文章归档关键词归档开发者手册归档开发者手册 Section 归档