早在2020年就已经开始研究突触强度再平衡,并在2021年10月做好了仿真和写好了中文版论文,也翻译了大部分中文成为英文,并向一个细胞子刊主编写信进行了投稿前咨询,他表示欢迎。
As early as 2020, we began to study synaptic strength rebalance, and in October 2021 I had finished the simulation and the paper in Chinese, and also translated most of the Chinese into English, and wrote an Email to Editor-in-Chief of a cell family journal for pre-submission consultation, and he welcomed.


Fig.1 Email

Fig.2 Preprint

Fig.3 Artificial Heart-Brain model flowchart

Fig.4 Memory generation

Fig.5 Memory Consolidation

Fig.6 Memory Loss

Fig.7 Normal IQ

Fig.8 High IQ

Fig.9 Low IQ
请大家关注我的最新版本的预印https://arxiv.org/abs/2203.11740,AI+脑科学+量子力学+脑动力学的结合。我们提出了PNN,但它不仅仅是简单的时间序列模型。人脑的认知应当是BP神经网络,这个认知过程从外部的输入获得信息到内部的输出处理信息。
除了突触连接的共享权重,我们提出了新的神经网络包括突触有效范围权重也会进行前向和反向计算。而且很多仿真是RNN无法实现的[14-28]。
通过认知产生的正向和负向记忆的大脑塑性是量子的并产生短期记忆,并且波函数展现出在一段时间表现出指数衰减,在海马体里产生。而指数衰减是因为壁垒,壁垒可能和星形胶质细胞有关。工作记忆的大脑塑性在大脑流动从海马体到不同皮层通过方向导数。强的工作记忆的大脑塑性转变成长期记忆也就是最大的方向导数,而最大的方向导数就是梯度。这样长期记忆是工作记忆的大脑塑性的梯度。短期记忆变成长期记忆的过程,也就是非经典力学变成经典力学的过程。
Please pay attention our new version of preprint https://arxiv.org/abs/2203.11740, AI+ Brain science +Quantum mechanics+Brain dynamics. We had proposed PNN, but it is not just simple time series predictive models. The cognition of the human brain should be the BP neural network, this cognitive process obtains information from external input to internal output processing information.
In addition to the shared weights of the synaptic connections, we proposed a new neural network that includes the synaptic effective range weights for both the Forward and Back propagation. And lots of simulations were used which RNN cannot be achieved [14-28].
The brain plasticity in positive or negative memory through cognition may be quantum and produce short-term memory, and exhibits an exponential decay in the wave function over a period of time, produced in the hippocampus. And exponential decay occurs due to barriers, and barriers can refer to astrocytes. Brain plasticity in working memory flows through the brain, from the hippocampus to the cortex, through directional derivatives. The strong working memory brain plasticity turns to long-term memory means maximum of directional derivatives, and maximum of directional derivatives is gradient. Thus, long-term memory signifies the gradient of brain plasticity in working memory. The process of short-term memory turns to long-term memory is the process of non-classically turns to classically.
图7-9给出了认知障碍的可能机理,较厚的皮层和大脑较多样的个体会提高认知,但更厚的皮层和大脑更多样的个体可能会损害认知。
从海马体发生湍流到第一皮层,记忆可能是大脑塑性的一阶导数也就是梯度或雅可比矩阵。从第一皮层发生湍流到第二皮层,记忆可能是大脑塑性的雅可比矩阵的一阶导数就是二阶导数,也就是海森矩阵。

代表海森矩阵。
此时修正突触有效范围的梯度法更改为牛顿法。公式(2)可继续修正为考虑海森矩阵的情况。阿尔兹海默症可能首先是第二皮层的

方向取正,然后是第一皮层的

方向取正梯度,这些导数的方向改变导致突触的兴奋和抑制紊乱。同理记忆流动到第n层皮层是大脑塑性的第n阶导数。从输入到输出的深度学习,也就是从外部的第n层皮层到内部的海马体。

诺贝尔奖得主罗杰.彭罗斯曾提出过大胆猜想,认为量子计算的潜在特征可以解释意识的神秘方面。人工大脑模型实际是心脑模型,心脏作为媒介,心和脑之间可能是超越绝对时空的量子纠缠。心脏产生正向

和负向

脉冲频率,脉冲频率相互作用电位信号加强或减弱突触,进而改变相对好或差的大脑架构

和

。这种超越时空量子纠缠在心脏频率积累

和

反馈给大脑架构积累就是

和

,并因为大脑内的壁垒满足指数的衰减[25]。
Fig. 7-9 shows the possible mechanisms of cognitive impairment, with thicker cortex and more diverse brains improving cognition, but individuals with the thickest cortex and the most diverse brains may impair cognition.
Turbulence occurs from the hippocampus to the first cortex, memory may be a first-order derivative of brain plasticity, means gradient or Jacobian matricx. Turbulence occurs from the first cortex to the second cortex, memory may be the first derivative of the brain plasticity Jacobian matricx, that is, second derivative of the brain plasticity, the Heisen matrix.

stands for the Heisen matrix. At this time, the gradient method that updates synaptic effective range is changed into Newton's method. Equation (2) can be further modified to take into account the case of the Heisen matrix. Alzheimer's disease may first be positive about in the

of the second cortex, followed by positive gradient in the

of the first cortex, and positive and negative changes in these derivatives lead to disturbances in synaptic excitation and inhibition. Similarly, memory flows to the nth cortex is the nth derivative of brain plasticity. Deep learning from input to output, that is, from the nth cortex on the outside to the hippocampus on the inside.
Nobel Prize winner Roger Penrose has put forward a bold conjecture that the potential features of quantum computation could explain enigmatic aspects of consciousness. The Artificial Brain model is actually the Heart-Brain model, and the heart serves as a medium, and the quantum entanglement between the heart and brain may be beyond absolute space-time. The heart produces positive

or negative

pulse frequencies, and the pulse frequencies interaction potential signal strengthens or weakens synapses, which in turn changes the relatively good or inferior brain architecture

and

. This transcendental space-time quantum entanglement at heart frequencies accumulation

and

feedback to the brain architectures accumulation

and

, and satisfies exponential decay because of barriers within the brain [25].

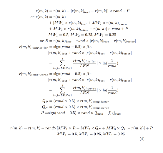
诺贝尔奖得主利根川进课题组确定了突触强度和树突棘密度的增加,特别是对于巩固的记忆印迹细胞中的作用。参考公式(2)和(4),记忆巩固的公式(5)表达如下,给出了工作记忆和长期记忆的关系,最大的方向导数就是梯度。从海马体到皮层,它在大脑实现了从非经典力学到经典力学。长期记忆是大脑塑性的梯度

这个过于理想,这有一个角度

,

会随着人类年龄增而增大,角

是临界值,大于它就是湍流,小于它就是层流。随着年龄增加湍流逐渐变成层流,

在图5显示[29]。如果

阿尔兹海默症将出现,海马体逐渐萎缩和变硬因为反向的湍流,结果被体现在图6,如同一个行星逐渐死亡形成黑洞。我们的猜想阿尔兹海默症的认知破坏是由搜索方向的反转导致,反向传播的负梯度被修正为正梯度,导致不能够收敛,转变方向的改变在图5-6体现 [29]。 式(5)的

等于式(2)的

或

或

。同时两个不同方向湍流的作用

记忆损失和

的记忆巩固导致脑部的β蛋白斑块。但对于阿尔兹海默症BP的正梯度是更重要的原因相比脑部的β蛋白斑块。
Nobel Prize winner Susumu Tonegawa’s group identified an increase of synaptic strength and dendritic spine density specifically in consolidated memory engram cells. Formula (2) and (4), the memory consolidation formula (5) can be shown as follows, it is the relationship of working memory and long-term memory, and maximum of directional derivatives is gradient. From hippocampus to cortices, it is achieved from non-classical to classical in brain. Long-term memory is gradient of brain plasticity

which is too idealistic, there is an angle

,

will increase because of human aging, the angle

is the critical value, greater than it is turbulence and less than it is laminar flow. And turbulence becomes laminar flow gradually throughout aging, the

was shown in Fig. 5 [29]. If

, symptoms of Alzheimer’s disease will appear, and atrophy and hardening of the hippocampus because of reverse turbulence, was shown in Fig. 6, just like a star dying to form black hole. Our conjecture is Alzheimer’s disease cognitive impairment is caused by search direction reversal, the negative gradient of Back propagation is modified by positive gradient, and unable to converge, change of direction of transition was shown in Fig. 5-6 [29]. The

in formula (5) is equivalent to

or

or

in formula (2). The simultaneous interaction of two different turbulence directions of

memory loss and

memory consolidation leads to β-amyloid plaques in brain. But the positive gradient of BP might be the more important reason for Alzheimer’s disease than β-amyloid plaques in brain.

一个关于量子力学的猜想:
当大脑感知的反馈是正向或者负向的时刻(对应图4凹点或者凸点的位置),这些时刻记忆大脑塑性的映射函数可能会是量子的,并且这些提取的正向或者负向时刻记忆的大脑塑性因为壁垒可能在一段时间符合波函数的指数衰减。也许指数衰减和人类衰老有关。人类衰老的过程可能是指数衰减的不连续分段波函数的总和。壁垒可能和星形胶质细胞有关。工作记忆的方向导数将流向各皮层并存储在记忆印记细胞,高流动性的工作记忆或是最大的工作记忆的方向导数也就是短期记忆的梯度将成为长期记忆。
One conjecture about quantum mechanics:
When brain is feeling positive or negative at some time points (it can be seen at the locations of salient points or concave points in Fig.4). The mapping function of exacted memory brain plasticity at these time points may be quantum. And these exacted positive or negative memories brains plasticity will exhibit exponential decay of wave function for a while because of barriers, and exponential decay may be related to human aging. The process of aging may be collection of discontinuous piecewise wave functions of exponential decay. Barriers may relate to astrocytes. Directional derivative of working memory will flow to the different cortices and stored in memory engram cells. Maximum of directional derivatives of working memory means gradient of short-term memory turns to long-term memory.
负向或正向情绪和认知反映了通过量子力学得到的非经典的记忆,是短期的海马体记忆。波函数是高频率的,并且记忆大脑塑性波函数表现出动能因为高速的粒子,产生在海马体里。通过PNN,我们提出从海马体到不同皮层之间有壁障,将导致波函数指数衰减,并且高频波函数转换成低频。最终长期记忆的刺激信息存储在皮层的记忆印记细胞里,此时长期记忆表现出势能释放。壁垒和星形胶质细胞有一定关系。对工作记忆的方向导数将流向皮层并存储在记忆印记细胞,高流动性或最大的工作记忆的方向导数也就是工作记忆的梯度将变成长期记忆。记忆流动可以取临界角为0就是最大的方向导数,也可以取临界角为

,大于

记忆将会流动。
Negative or positive emotion and cognition reflect non-classical memories by quantum computing, are short-term hippocampal memories. The wave function is high-frequency. And wave function of exacted memories brains plasticity shows kinetic energy because of high-speed particles, produce at hippocampus. By PNN, we propose these appeared barriers from hippocampus to different cortexes, will lead to exponential decay of wave function, and wave function of high-frequency turns to low-frequency. At last, long-term stimulus information stored in memory engram cells of different cortexes. And long-term memory exhibits potential energy release. Barriers may relate to astrocytes. Directional derivative of working memory will flow to the different cortices and stored in memory engram cells. High flow working memory or maximum of directional derivatives of working memory means gradient of short-term memory will turn to long-term memory. Memory flow can take a critical angle of 0, which is the maximum directional derivatives, or a critical angle of

, greater than

memory will flow.
我们可以把我们的大脑想象成是地球,地心熔岩的产生如同在海马体的短期记忆的发生,过程是量子的。地表的地震因为势能释放,选出强的短期记忆成为长期记忆存储在不同皮层的记忆印记细胞能被释放。阿尔兹海默症可能是行星死亡过程,有可能形成黑洞。脑动力学类比河流动力学,当河道反向过水,因为之前河道水流坡降与当前水流坡降相反,可能会导致河道淤积。河道淤积类似脑部β蛋白斑块。河道反向过水类似大脑的湍流反向,导致了认知障碍和记忆损失。
We can imagine our brain as the earth, and the production of geocentric lava occurs like short-term memory happen in the hippocampus, and the process is quantum. Earthquakes on the surface are released due to potential energy, just as strong short-term memory is selected and turns to long-term memory, and is stored in memory engram cells of different cortices, can be released. The Alzheimer’s disease may be the process of planet death, which has the potential to form black holes. Brain dynamics analogous to river dynamics, when the river that flows backwards, because the previous river flow slope is opposite to the current flow slope, it may lead to river siltation. The river siltation is similar to β-amyloid plaques in brain. The river that flows backwards is similar to turbulence reverses in brain, and leads to cognitive impairment and memory loss.
PNN的仿真符合了6篇正刊、7篇子刊和2篇物理顶刊的脑科学实验和假设:
1.突触强度再平衡,如鱼群的头鱼效应,前向神经元位置改变会影响后向突触的位置[14];
2.突触成形导致神经元数目下降破坏大脑认知,进而促进大脑的老化[15];
3.提取记忆印记细胞记忆是个逆向过程,进行了公式推理[16];
4.随着年龄增长海马体神经发生会降低[17];
5.但可能有争议,海马体神经发生也许会随着年龄维持,猜想PNN可能之后迭代可能出现一个全新的更长的神经回路[18];
6.模拟关闭大脑关键期导致神经紊乱,包括同时不考虑星形胶质细胞的皮层记忆维持和星形胶质细胞吞噬突触 [19];
7.负性记忆能够增加大脑塑性的活性[20];
8.星形胶质细胞吞噬突触会使得大脑局部突触不会过于积聚和兴奋[21];
9.皮层厚度、大脑个体多样性和人类智商的关系[22];
10.提取记忆印记细胞的记忆改变突触强度,使得突触强度增强或减弱[23];
11.记忆结构和大脑信号穿透性关系,类似信号穿越凸凹透镜焦点附近[24];
12.我们的大脑可能是一台量子计算机[25],对于量子计算机的模拟涉及到情绪和认知,认知产生相对正向和负向情绪时,提取记忆大脑塑性的映射函数可能是非经典的量子力学;
13.前端丘脑选择短期记忆来长时间有选择性的巩固记忆[26]。带有梯度记忆的梯度法更新突触有效范围权重是长期记忆存储在皮层,量子计算更新突触有效范围权重是短期记忆发生在海马体。短期记忆穿越海马体和不同皮层的壁垒变成了长期记忆。参考公式(2)、(4)和(5),工作记忆和短期记忆被巩固成为长期记忆,我们建议强和高流动的工作记忆或短期记忆就是提取的记忆大脑塑性最大方向导数等于相对好和差大脑塑性的梯度,也就是长期记忆;
14.正如最近在具有高空间分辨率的功能磁共振成像(FMRI)中所显示的那样,湍流显示出一种促进大脑动力学中跨时空尺度的能量和信息传递的基础方法 [27].记忆从海马体到不同的皮层是因为湍流而不是层流,长期记忆是大脑塑性的梯度

过于理想,这有一个角度

,

逐渐增大随着年龄的增加,湍流逐渐变成层流随着年龄的增大,而更小数值的切向量可能会伤害人类的智慧。
15. 黑色素浓缩激素会导致兴奋性突触强度和神经元放电率的净下降。该论文研究表明黑色素浓缩激素(MCH)系统在早期AD中是脆弱的。MCH神经元在REM(快速眼动)睡眠期间非常活跃。他们发现,AppNL-G-F小鼠中活跃MCH神经元百分比的减少与REM睡眠时间的减少平行。稳态突触可塑性反应抵消了AppNL-G-F小鼠中对CA1锥体神经元的兴奋性传递增加。MCH肽足以逆转AppNL-G-F小鼠CA1区域兴奋性驱动的增加。论文的工作提出了CA1中MCH依赖性突触功能受损和睡眠-觉醒结构紊乱协同损害神经元稳态的模型,导致CA1锥体神经元异常活动[28]。以上研究能被AD可能机理解释,逆转BP神经网络逆梯度为正梯度和MCH的分析相关,突触应当减弱强度的反而变得刺激。
The simulations of PNN fit very well in brain science experiments and hypotheses of 6 papers CNS Journals, 7 papers of CNS family Journals and 2 papers top Physics Journal [14-28].
1. The synaptic strength rebalance, these neurons, like a school of fish, presynaptic neurons like head fishes also affect the locations of postsynaptic neurons [14];
2. The synapse formation causes decline in the number of neurons and impairs brain cognition, then leads to brain aging [15];
3. And the memory of memory engram cells ensembles by a retrograde mechanism, the formula is derived [16];
4. The hippocampal neurogenesis will decline throughout aging [17];
5. But controversy was claimed that human hippocampal neurogenesis persists throughout aging, PNN considered it may have a new and longer circuit in late iteration [18];
6. Closing the critical period which includes astrocytic cortex memory persistence or astrocytes phagocytose synapses at the same time will cause neurological disorder [19];
7. The negative memory will increase activity of brain plasticity [20];
8. Astrocytes phagocytose synapses also inhibits local synaptic accumulation and excitation [21];
9. Relationships of cortex thickness, brain individual diversity and human intelligence [22];
10. The memory retrieval process by memory engram cells that strengthened synaptic strength, increase or decrease synaptic strength [23];
11. Relationship of memory structure and penetrability of brain signals, it means signals go through easily neighboring areas of focus on convex or concave lens. [24];
12.Our brain may be a quantum computer [25], simulation of quantum computer will consider emotion and cognition, when cognition leads to positive or negative emotion, the mapping function of exacted memory brain plasticity may be a non-classical quantum mechanics;
13. Anteromedial thalamus selects strong short-term memories and selectively stabilize memories at remote time [26]. The gradient method with memory gradient to update the synaptic effective range weights is long-term memory stored in cortices. The quantum computing to update the synaptic effective range weights is short-term memory happen in hippocampus. Short-term memory travels through the berries of hippocampus and different cortices and turns into long-term memory. Refer to formula (2), (4) and (5), working memory or short-term memory is consolidated and turns long-term memory. And we suggest strong and high flow working memory or short-term memory means maximum of directional derivatives of exacted memory brain plasticity is relatively good or inferior gradient of memory brain plasticity, means long-term memory;
14.As recently shown in functional magnetic resonance imaging (FMRI) with high spatial resolution, turbulence shows to offer a based way to facilitate energy and information transfer across spatiotemporal scales in brain dynamics [27]. Memory from hippocampus to different cortices because of turbulence rather than laminar flow. Long-term memory is gradient of brain plasticity

that is too idealistic, there is an angle

,

will increase because of human aging, and turbulence becomes laminar flow gradually throughout aging, and smaller value tangent vector

might impair to human intelligence.
15. Melanin-concentrating hormone decreases synaptic strength and modulates firing rate homeostasis. The paper's findings identify the MCH system as vulnerable in early AD. MCH neurons are prominently active during REM (rapid eye movement) sleep. They find that a reduction in the percentage of active MCH neurons in AppNL-G-F mice is paralleled by a decrease in the time spent in REM sleep. Homeostatic plasticity response counteracts increased excitatory drive to CA1 pyramidal neurons in App NL-G-F mice. Melanin-concentrating hormone reverses increased excitatory drive in App NL-G-F CA1. Paper's work suggests a model in which impaired MCH-dependent synaptic function in CA1 and perturbed REM sleep synergistically compromise neuronal homeostasis, contributing to aberrant neuronal activity in CA1[28]. It can be explained by the possible mechanism of AD, reverses negative gradient to positive gradient of BP Neural network relate to analyses of MCH, that synapses that should be decreased strength become excitatory.
PNN在研究中对脑科学的4个发现:
1.星形胶质细胞维持皮层记忆会使得大脑局部突触不会过于积聚和兴奋,模型对实验有所启发;
2.负向和正向记忆的大脑塑性还会对星形胶质细胞吞噬突触有所驱动,因为

或

的正值或负值;
3.皮层较厚和大脑具备更多样性的个体,也许人类智商会提高;但是皮层更厚即使大脑具备更多样性的个体,可能人类智商会降低;
4.对于PNN,长期记忆的作用比短期记忆更明显。
About PNN's 4 findings in brain science:
1.Astrocytic cortex memory persistence factor also inhibits local synaptic accumulation and excitation, and the model inspires experiments;
2. It may be the process of astrocytes phagocytose synapses is driven by positive and negative memories of brain plasticity, because of the positive or negative value of

or

;
3. The thicker cortex and the more diverse individuals in brain may have high IQ in simulation, but the thickest cortex and the most diverse individuals in brain may have low IQ in simulation;
4. For PNN, the role of long-term memory is more pronounced than short-term memory.
PNN对深度学习和进化计算的创新:
1.PNN把RNN架构改造有点类似CNN,而算法有些类似ResNet,池化过程或层数计算有些类似突触有效范围的更新,PNN也有共享连接权重;前向计算和反向计算除了考虑共享连接权重,新的神经网络也要考虑突触的有效范围;
2. PNN是把残差网络的层数计算进行改进,提出了权重的梯度不仅考虑当前梯度还考虑记忆的梯度并经过了公式推理;
3.进化计算比如遗传和粒子群算法,它们考虑的是全局最优或迄今最优解,而PNN还考虑了相对较优和相对较差解。
The innovations of PNN in Deep learning and Evolutionary computing:
1.PNN modifies the RNN architecture to be somewhat similar to CNN, and the algorithm is somewhat similar to ResNet, the pooling process or layer number calculation is somewhat similar to update of the synaptic effective range change, PNN also has shared weights of synaptic connections. In addition to the shared weights of synaptic connections, we proposed a new neural network that includes weights of synaptic ranges for Forward propagation and Back propagation;
2.And PNN modified ResNet to calculate the layers’ number, is proposed the gradient of the weight is considered not only the current gradient but also the memory gradient by formula derivation;
3.Such as GA and PSO, they consider global solution or best previous solution, but PNN also considers relatively good solution and relatively inferior solution.
4个假设如下:
1.通过量子力学,负向和正向的情感和认知反映了非经典提取的记忆的大脑塑性,是短期海马体记忆。波函数是高频的。而提取的记忆的大脑塑性的波函数表现出动能因为高速的粒子,在海马体中产生。通过PNN,我们提出在海马体到不同皮层存在壁垒,使得波函数表现指数衰减,波函数从高频变成低频。最终,长期的刺激信息被存储不同皮层的记忆印记细胞。而长期的记忆体现出势能;
2.壁垒可能和星形胶质细胞有关;
3.工作记忆的方向导数将流向不同皮层然后被存储在记忆印记细胞。高流动性或最大方向导数的工作记忆也就是短期记忆的梯度,将变成长期记忆;
4.在PNN仿真中,长期记忆的收集每一次迭代发生一次,它的发生几率高。但短期记忆的提取过程发生一次要经过多次迭代,它的发生几率低。
The 4 hypotheses were as follows:
1.Negative or positive emotion and cognition reflect non-classical exacted memories brains plasticity by quantum mechanics, are short-term hippocampal memories. The wave function is high-frequency. And wave function of exacted memories brains plasticity shows kinetic energy because of high-speed particles, produce at hippocampus. By PNN, we propose these appeared barriers from hippocampus to different cortexes, wave function will lead to exponential decay, and wave function of high-frequency turns to low-frequency. At last, long-term stimulus information stored in memory engram cells of different cortexes. And long-term memories exhibit potential energy;
2.Barriers may relate to astrocytes;
3.Directional derivative of working memory will flow to the different cortices and stored in memory engram cells. High flow working memory or maximum of directional derivatives of working memory means gradient of short-term memory, will turn to long-term memory;
4.In PNN simulations, ensembles of long-term memory produced once each iteration, so it occurs once at strong probability. but retrieval processes of short-term memory happened once by many iterations, and occurrences are poor probability.
实际上,以上工作除了突触成形[15]、大脑的量子计算机[25]和记忆的巩固[26]对我有所启发,其它工作都是我做出后找的相关文献对比仿真,包括残差网络的公式推理也是自己独立完成。
In fact, except for inspirations the synapse formation [15], quantum computer of brain [25] and memory consolidation [26], the above works are all relevant researches contrast simulation I found later, including the formula reasoning of the ResNet is also completed independently.
这篇文章得到JCBV资助。
This article was funded by JCBV.
代码可联系作者获取。
You can contact the author to get the code.
Reference
[14] El-Boustani, Sami et al. “Locally coordinated synaptic plasticity of visual cortex neurons in vivo.” Science (New York, N.Y.) vol. 360,6395 (2018): 1349-1354. doi:10.1126/science.aao0862
[15] Yukari H. Takeo et al. GluD2- and Cbln1-mediated competitive interactions shape the dendritic arbors of cerebellar Purkinje cells. Neuron, 2021, doi:10.1016/j.neuron.2020.11.028.
[16] Lavi A, Sehgal M, de Sousa AF, Ter-Mkrtchyan D, Sisan F, Luchetti A, Okabe A, Bear C, Silva AJ. Local memory allocation recruits memory ensembles across brain regions. Neuron. 2022 Dec 15:S0896-6273(22)01072-8. doi: 10.1016/j.neuron.2022.11.018. Epub ahead of print. PMID: 36563678.
[17] Sorrells SF, Paredes MF, Cebrian-Silla A, Sandoval K, Qi D, Kelley KW, James D, Mayer S, Chang J, Auguste KI, Chang EF, Gutierrez AJ, Kriegstein AR, Mathern GW, Oldham MC, Huang EJ, Garcia-Verdugo JM, Yang Z, Alvarez-Buylla A. Human hippocampal neurogenesis drops sharply in children to undetectable levels in adults. Nature. 2018 Mar 15;555(7696):377-381. doi: 10.1038/nature25975. Epub 2018 Mar 7. PMID: 29513649; PMCID: PMC6179355.
[18] Boldrini M, Fulmore CA, Tartt AN, Simeon LR, Pavlova I, Poposka V, Rosoklija GB, Stankov A, Arango V, Dwork AJ, Hen R, Mann JJ. Human Hippocampal Neurogenesis Persists throughout Aging. Cell Stem Cell. 2018 Apr 5;22(4):589-599.e5. doi: 10.1016/j.stem.2018.03.015. PMID: 29625071; PMCID: PMC5957089.
[19] Ribot J, Breton R, Calvo CF, Moulard J, Ezan P, Zapata J, Samama K, Moreau M, Bemelmans AP, Sabatet V, Dingli F, Loew D, Milleret C, Billuart P, Dallérac G, Rouach N. Astrocytes close the mouse critical period for visual plasticity. Science. 2021 Jul 2;373(6550):77-81. doi: 10.1126/science.abf5273. PMID: 34210880.
[20] Zhang K, Förster R, He W, Liao X, Li J, Yang C, Qin H, Wang M, Ding R, Li R, Jian T, Wang Y, Zhang J, Yang Z, Jin W, Zhang Y, Qin S, Lu Y, Chen T, Stobart J, Weber B, Adelsberger H, Konnerth A, Chen X. Fear learning induces α7-nicotinic acetylcholine receptor-mediated astrocytic responsiveness that is required for memory persistence. Nat Neurosci. 2021 Dec;24(12):1686-1698. doi: 10.1038/s41593-021-00949-8. Epub 2021 Nov 15. PMID: 34782794.
[21] Lee JH, Kim JY, Noh S, Lee H, Lee SY, Mun JY, Park H, Chung WS. Astrocytes phagocytose adult hippocampal synapses for circuit homeostasis. Nature. 2021 Feb;590(7847):612-617. doi: 10.1038/s41586-020-03060-3. Epub 2020 Dec 23. PMID: 33361813.
[22] Galakhova AA, Hunt S, Wilbers R, Heyer DB, de Kock CPJ, Mansvelder HD, Goriounova NA. Evolution of cortical neurons supporting human cognition. Trends Cogn Sci. 2022 Nov;26(11):909-922. doi: 10.1016/j.tics.2022.08.012. Epub 2022 Sep 15. PMID: 36117080; PMCID: PMC9561064.
[23] Ryan TJ, Roy DS, Pignatelli M, Arons A, Tonegawa S. Memory. Engram cells retain memory under retrograde amnesia. Science. 2015 May 29;348(6238):1007-13. doi: 10.1126/science.aaa5542. Epub 2015 May 28. PMID: 26023136; PMCID: PMC5583719.
[24] Zhao C, Li D, Kong Y, Liu H, Hu Y, Niu H, Jensen O, Li X, Liu H, Song Y. Transcranial photobiomodulation enhances visual working memory capacity in humans. Sci Adv. 2022 Dec 2;8(48):eabq3211. doi: 10.1126/sciadv.abq3211. Epub 2022 Dec 2. PMID: 36459562.
[25] Christian Matthias Kerskens, David López Pérez. Experimental indications of non-classical brain functions. Journal of Physics Communications, 2022, 6(10): 105001. DOI: 10.1088/2399-6528/ac94be.
[26] Toader AC, Regalado JM, Li YR, Terceros A, Yadav N, Kumar S, Satow S, Hollunder F, Bonito-Oliva A, Rajasethupathy P. Anteromedial thalamus gates the selection and stabilization of long-term memories. Cell. 2023 Mar 30;186(7):1369-1381.e17. doi: 10.1016/j.cell.2023.02.024. PMID: 37001501.
[27] Deco, G., Liebana Garcia, S., Sanz Perl, Y. et al. The effect of turbulence in brain dynamics information transfer measured with magnetoencephalography. Commun Phys 6, 74 (2023). https://doi.org/10.1038/s42005-023-01192-2.
[28] Calafate, S., Özturan, G., Thrupp, N. et al. Early alterations in the MCH system link aberrant neuronal activity and sleep disturbances in a mouse model of Alzheimer’s disease. Nat Neurosci 26, 1021–1031 (2023). https://doi.org/10.1038/s41593-023-01325-4
[29] Dou, H.-S., Origin of Turbulence-Energy Gradient Theory, 2022, Springer. https://link.springer.com/book/10.1007/978-981-19-0087-7.