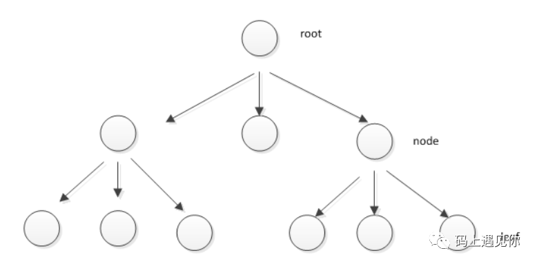
无场景不设计,下面有这样一个场景: 编写程序展示一个学校院系结构:需求是这样,要在一个页面中展示出学校的院系组成,一个学校有多个学院,一个学院有多个系。如图:

如果是你接到这样一个需求你会怎么去做呢?(思考一分钟.....)

如图所示:按照常规思想我们会把它做成一个继承关系。 思考:它们彼此的关系真的是继承关系吗?
传统解决方案总结分析
综上所述,我们大概也清楚了按照传统解决方案去设计展示一个学校院系的结构是欠佳的。那我们如何解决呢?
进阶思路
把学校、院、系都看做是组织结构,他们之间没有继承的关系,而是一个 树形结构,可以更好的实现管理操作。=>
组合模式
好了到这里,我么抛砖引玉,提出了组合模式的概念,那么什么是组合模式呢?接下来为大家详细介绍。
基本介绍:
部分整体模式,它创建了对象组的树形结构,将对象组合成树状结构以表示“整体-部分”的层次关系。结构性模式好了相关的组合模式概念也就讲完了。是不是听的晕晕乎乎的,任何一种模式用语言来描述都是及其复杂的,但是实现起来就很容易理解。下面我给大家简单地绘画一个组合模式的原理类图:

对原理结构图的说明-即(组合模式的角色及职责)
讲了这么多的理论知识,究竟组合模式可以解决哪些问题呢?

到这里,组合模式的基础概念以及相关组成部分已经讲完了。接下来直接撸代码。实操起来。
关于学校院系的设计原理类图:

注意:
这里Department 聚合 College 聚合 University,是将OrganizationComponent作为属性放在Composite(也就是College、University)
根据上述类图来编写代码;
public abstract class OrganizationComponent {
private String name; // 名字
private String des; // 说明
protected void add(OrganizationComponent organizationComponent) {
//默认实现
throw new UnsupportedOperationException();
}
protected void remove(OrganizationComponent organizationComponent) {
//默认实现
throw new UnsupportedOperationException();
}
//构造器
public OrganizationComponent(String name, String des) {
super();
this.name = name;
this.des = des;
}
public String getName() {
return name;
}
public void setName(String name) {
this.name = name;
}
public String getDes() {
return des;
}
public void setDes(String des) {
this.des = des;
}
//方法print, 做成抽象的, 子类都需要实现
protected abstract void print();
}
//University 就是 Composite , 可以管理College
public class University extends OrganizationComponent {
List<OrganizationComponent> organizationComponents = new ArrayList<OrganizationComponent>();
// 构造器
public University(String name, String des) {
super(name, des);
// TODO Auto-generated constructor stub
}
// 重写add
@Override
protected void add(OrganizationComponent organizationComponent) {
// TODO Auto-generated method stub
organizationComponents.add(organizationComponent);
}
// 重写remove
@Override
protected void remove(OrganizationComponent organizationComponent) {
// TODO Auto-generated method stub
organizationComponents.remove(organizationComponent);
}
@Override
public String getName() {
// TODO Auto-generated method stub
return super.getName();
}
@Override
public String getDes() {
// TODO Auto-generated method stub
return super.getDes();
}
// print方法,就是输出University 包含的学院
@Override
protected void print() {
// TODO Auto-generated method stub
System.out.println("--------------" + getName() + "--------------");
//遍历 organizationComponents
for (OrganizationComponent organizationComponent : organizationComponents) {
organizationComponent.print();
}
}
}
public class College extends OrganizationComponent {
//List 中 存放的Department
List<OrganizationComponent> organizationComponents = new ArrayList<OrganizationComponent>();
// 构造器
public College(String name, String des) {
super(name, des);
// TODO Auto-generated constructor stub
}
// 重写add
@Override
protected void add(OrganizationComponent organizationComponent) {
// TODO Auto-generated method stub
// 将来实际业务中,Colleage 的 add 和 University add 不一定完全一样
organizationComponents.add(organizationComponent);
}
// 重写remove
@Override
protected void remove(OrganizationComponent organizationComponent) {
// TODO Auto-generated method stub
organizationComponents.remove(organizationComponent);
}
@Override
public String getName() {
// TODO Auto-generated method stub
return super.getName();
}
@Override
public String getDes() {
// TODO Auto-generated method stub
return super.getDes();
}
// print方法,就是输出University 包含的学院
@Override
protected void print() {
// TODO Auto-generated method stub
System.out.println("--------------" + getName() + "--------------");
//遍历 organizationComponents
for (OrganizationComponent organizationComponent : organizationComponents) {
organizationComponent.print();
}
}
}
public class Department extends OrganizationComponent {
//没有集合
public Department(String name, String des) {
super(name, des);
// TODO Auto-generated constructor stub
}
//add , remove 就不用写了,因为他是叶子节点
@Override
public String getName() {
// TODO Auto-generated method stub
return super.getName();
}
@Override
public String getDes() {
// TODO Auto-generated method stub
return super.getDes();
}
@Override
protected void print() {
// TODO Auto-generated method stub
System.out.println(getName());
}
}
public class Client {
public static void main(String[] args) {
// TODO Auto-generated method stub
//从大到小创建对象 学校
OrganizationComponent university = new University("清华大学", " 中国顶级大学 ");
//创建 学院
OrganizationComponent computerCollege = new College("计算机学院", " 计算机学院 ");
OrganizationComponent infoEngineercollege = new College("信息工程学院", " 信息工程学院 ");
//创建各个学院下面的系(专业)
computerCollege.add(new Department("软件工程", " 软件工程不错 "));
computerCollege.add(new Department("网络工程", " 网络工程不错 "));
computerCollege.add(new Department("计算机科学与技术", " 计算机科学与技术是老牌的专业 "));
//
infoEngineercollege.add(new Department("通信工程", " 通信工程不好学 "));
infoEngineercollege.add(new Department("信息工程", " 信息工程好学 "));
//将学院加入到 学校
university.add(computerCollege);
university.add(infoEngineercollege);
//university.print();
infoEngineercollege.print();
}
}
终于将组合模式的基本概念以及应用案例讲解完了。那么还是老样子,究竟组合模式在JDK中哪里有应用呢?让我们一看究竟吧。
Java的集合类-HashMap就使用了组合模式
Map<Integer,String> hashMap=new HashMap<Integer,String>();
hashMap.put(0, "名著");//直接存放叶子节点(Node)
Map<Integer,String> map=new HashMap<Integer,String>();
map.put(1, "西游记");
map.put(2, "红楼梦"); //..
hashMap.putAll(map);
System.out.println(hashMap);
Component可以是接口或者抽象类),为什么这么说呢?
因为从源码我们可以看出这个接口有很多方法,比如:put、putAll。如图:


如图所示它的子类有一个AbstractMap在AbstractMap中默认实现了put方法(抛出了一个不支持的异常),说明了这个方法还需要下面的子类进行实现。

其实
AbstractMap也相当于Component,不同之处就在于,AbstractMap是一个抽象类,Map是一个接口,它多做了一层,首先声明一个接口(Map),抽象类(AbstractMap)去实现这个接口;这里的Component(Abstract)做了两层,我们上述的Component只做了一层。
HashMap
College和University(也就是Composite);
为什么这么说呢?因为HashMap将put方法进行了具体的实现(调用了putVal()这个方法);putAll()方法调用了putMapEntries()。


其实叶子节点是有的,你仔细查看不难发现HashMap有一个静态内部类
Node,这个Node就类似我们之前讲得叶子节点,因为它的下面并没有put putAll方法,只有getKey()、getValue()...
如图:

追put()方法时不难发现;put()里面有个putVal(),putVal()里面得到一个key和value,把key和value做了一个Node放到了我们这个HashMap里面去
源码如图:

以上就是HashMap的源码分析 类图:

简化客户端操作,客户端只需要面对一致的对象而不用考虑整体部分或者节点叶子的问题
有较强的扩展性。当我们要更改组合对象时,我们只需要调整内部的层次关系,客户端不需要做出任何改动。
便创建出复杂的层次结构。客户端不用理会组合里面的组合细节,容易添加节点或者叶子节点从二创建出复杂的树形结构
要遍历组织架构,或者处理的对象具有树形结构,非常适合使用组合模式
求较高的抽象性,如果节点和叶子有很多差异的话,比如很多方法和属性都不一样,不适合使用组合模式