每天都要不断学习呀!

注意:
黄色表明的是主键
划线表明的是外键

科室(科名,科地址,科电话)
病房(病房号,病床号,所属科室名)
医生(姓名,职称,所属科室名,年龄,工作证号)
病人(病历号,姓名,性别,诊断,主治医生,病房号,工作证号)

商品(商品编号,商店名,地址)
商品(商品号,商品名,规格,单价)
职工(职工号,姓名,性别,商品编号,聘期,月薪)
销售(商编号,商品号,月销量)

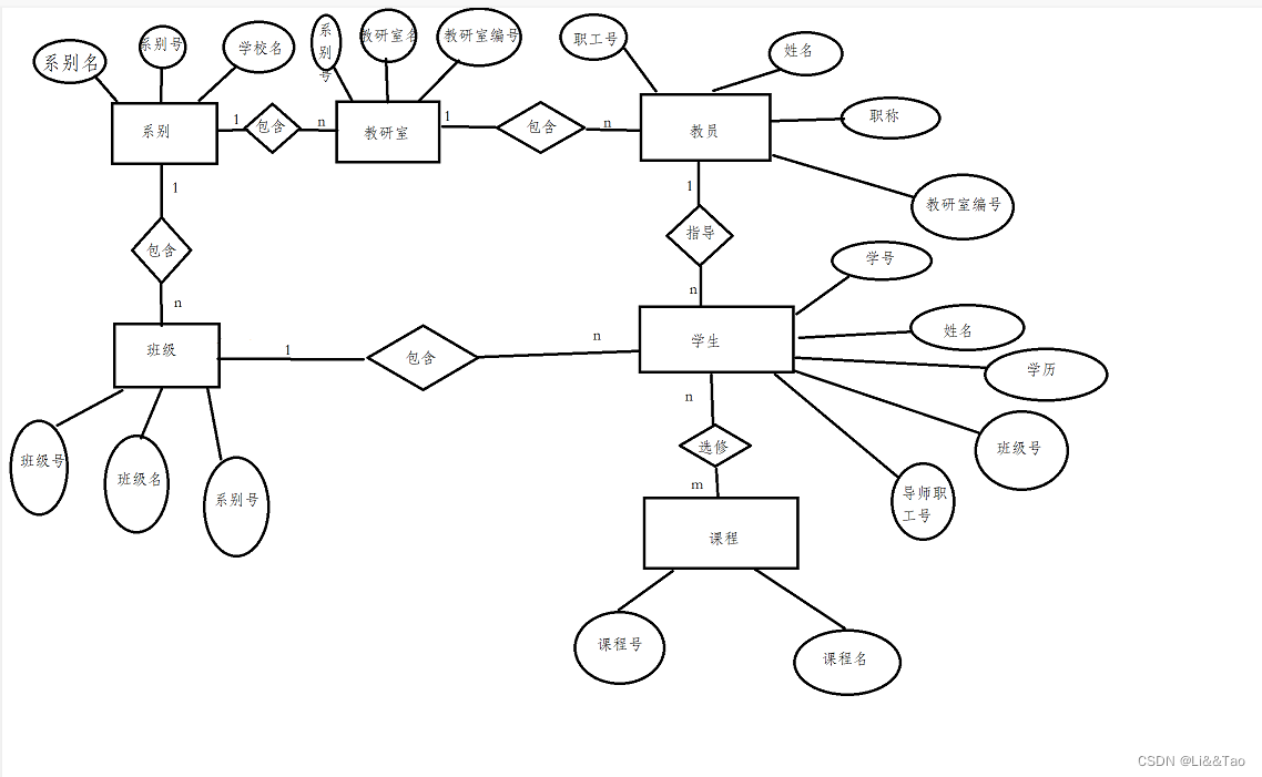
系别(系别号,系别名,学校名)
班级(班级号,班级名,系别号)
教研室(教研室编号,教研室名,系别号)
学生(学号,姓名,学历,班级号,导师职工号)
课程(课程号,课程名)
教员(职工号,姓名,职称,教研室编号)
选修(学号,课程号)